VIC2 Phosphoramidite
VIC2 Phosphoramidite
询价
1g
起订
10g
起订
100g
起订
江苏 更新日期:2025-09-02
产品详情:
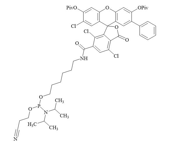
- 英文名称:
- VIC2 Phosphoramidite
- CAS号:
- 1414265-81-8
- 产品类别:
- mRNA原料
公司简介
申基生物成立于2018年,专注于为客户提供生命科学领域上游原料的整体解决方案。公司核心成员源自南京大学化学生物学博士团队,拥有极强的化学生物学技术背景,多年来致力于生命科学卡脖子原料的研发和产业化,现已具有抗体发现平台、mRNA原液制备平台、mRNA-LNP制剂工艺平台、寡核苷酸制备平台、酶定向进化平台等技术,在此驱动下,衍生细胞基因治疗原料、基因核酸药物原料以及IVD原料三大产品板块。公司已入选南京市培育独角兽企业,已获多轮数亿元融资。
| 成立日期 | (8年) |
| 注册资本 | 1425.286900万人民币 |
| 员工人数 | 100-500人 |
| 年营业额 | ¥ 5000万-1亿 |
| 经营模式 | 贸易,工厂,试剂,定制,服务 |
| 主营行业 | 医药中间体,核苷,核苷酸,寡核苷酸,诊断试剂,生物技术服务,整体实验外包服务 |
VIC2 Phosphoramidite相关厂家报价 更多
-
- VIC Amidite(中文:VIC 亚磷酰胺)
- 广东普洛凯生物科技有限公司 VIP
- 2025-11-20
- ¥1000
-
- 胰蛋白酶抑制剂
- 上海康朗生物科技有限公司 VIP
- 2026-04-17
- ¥80
-
- 顺式-1,4-环己二羧酸CAS#619-81-8
- 武汉克米克生物医药技术有限公司 VIP
- 2026-04-17
- 询价
-
- 2-溴-4-氯-1-(二氟甲氧基)苯
- 常州安科尔生物科技有限公司 VIP
- 2026-04-17
- 询价
