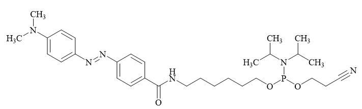
6-(4',5'-Dichloro-2',7'-dimethoxy-3',6'-dipivaloylfluorescein-6-carboxamido)-hexyl-1-O-(2-cyanoethyl)-(N,N-diisopropyl)-phosphoramidite
6-(4',5'-Dichloro-2',7'-dimethoxy-3',6'-dipivaloylfluorescein-6-carboxamido)-hexyl-1-O-(2-cyanoethyl)-(N,N-diisopropyl)-phosphoramidite
询价
1g
起订
10g
起订
100g
起订
江苏 更新日期:2025-09-02
产品详情:
- 英文名称:
- 6-(4',5'-Dichloro-2',7'-dimethoxy-3',6'-dipivaloylfluorescein-6-carboxamido)-hexyl-1-O-(2-cyanoethyl)-(N,N-diisopropyl)-phosphoramidite
- CAS号:
- 288631-58-3
- 产品类别:
- mRNA原料
公司简介
申基生物成立于2018年,专注于为客户提供生命科学领域上游原料的整体解决方案。公司核心成员源自南京大学化学生物学博士团队,拥有极强的化学生物学技术背景,多年来致力于生命科学卡脖子原料的研发和产业化,现已具有抗体发现平台、mRNA原液制备平台、mRNA-LNP制剂工艺平台、寡核苷酸制备平台、酶定向进化平台等技术,在此驱动下,衍生细胞基因治疗原料、基因核酸药物原料以及IVD原料三大产品板块。公司已入选南京市培育独角兽企业,已获多轮数亿元融资。
| 成立日期 | (8年) |
| 注册资本 | 1425.286900万人民币 |
| 员工人数 | 100-500人 |
| 年营业额 | ¥ 5000万-1亿 |
| 经营模式 | 贸易,工厂,试剂,定制,服务 |
| 主营行业 | 医药中间体,核苷,核苷酸,寡核苷酸,诊断试剂,生物技术服务,整体实验外包服务 |
6-(4',5'-Dichloro-2',7'-dimethoxy-3',6'-dipivaloylfluorescein-6-carboxamido)-hexyl-1-O-(2-cyanoethyl)-(N,N-diisopropyl)-phosphoramidite相关厂家报价
-
- 5'-Dabcyl CE-Phosphoramidite
- 上海科泽永欣生物科技有限公司 VIP
- 2025-08-05
- 询价
-
- 原料 聚己缩胍盐酸盐 32289-58-0 污水处理 原料
- 武汉吉业升化工有限公司 VIP
- 2026-04-14
- ¥15
-
- 苄星氯唑西林 23736-58-5医药原料
- 湖北威德利化学试剂有限公司 VIP
- 2026-04-14
- 询价
-
- “穿心莲内酯”5508-58-7生产加工公司原料销售
- 湖北阡陌生物科技有限公司 VIP
- 2026-04-14
- ¥650
