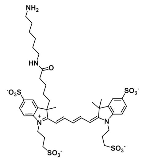
AF647-氨基
AF 647 amine;Alexa Fluor 647 NH2
询价
10mg
起订
25mg
起订
50mg
起订
陕西 更新日期:2025-09-08
产品详情:
- 中文名称:
- AF647-氨基
- 英文名称:
- AF 647 amine;Alexa Fluor 647 NH2
- 保存条件:
- -20℃
- 纯度规格:
- 95%+
- 产品类别:
- 荧光染料
公司简介
西安凯新生物科技有限公司是国内领先生命科学和生物技术领域试剂供应商,从成立初期就致力于为生命科学和生物技术领域提供优质产品和技术服务,力求将最好的产品和服务奉献给我们的客户。
丰富凯新:
合成磷脂、聚乙二醇衍生物、嵌段共聚物、磁性纳米颗粒、纳米金及纳米金棒、近红外荧光染料、活性荧光染料、荧光标记的葡聚糖BSA和链霉亲和素、蛋白交联剂、小分子PEG衍生物、点击化学产品、树枝状聚合物、环糊精衍生物、大环配体类、荧光量子点、透明质酸衍生物、石墨烯或氧化石墨烯、碳纳米管、富勒烯等等,可以满足从毫克级到公斤级的定制需求。
专业凯新:
为满足市场需要,结合中国本土市场的环境和发展,通过筛选,我公司已经和Avanti、cordenpharma、Matreya、nanocs、creative、laysan、Polypure、iris、Lumiprobe、Hampton Research、Worthington、bioaustralis等20多家知名品牌签订代理协议,成为合作伙伴,为中国客户提供各种类高层次的产品和服务。
高效凯新:
凯新与客户齐心协力,共同推进产品突破,为解决迫切需求,我们配备专业的冷藏存储设备,常规试剂有现货。
| 成立日期 | (13年) |
| 注册资本 | 50万 |
| 员工人数 | |
| 年营业额 | |
| 经营模式 | 工厂,试剂,定制,服务 |
| 主营行业 | 中间体,化学试剂,医药原料 |
AF647-氨基相关厂家报价
-
- 氨基葡萄糖硫酸盐、氨基葡萄糖硫酸钾盐、氨基葡萄糖硫酸钠盐
- 江苏奥福生物科技有限公司 VIP
- 2026-04-26
- ¥35
-
- 51135-91-2,4-氨基茚酮,4-氨基-1-茚满酮,4-氨基-2,3-二氢茚酮,4-氨基-2,3-二氢茚-1-酮
- 上海人兮科技有限公司 VIP
- 2026-04-25
- 询价
-
- 荧光素-氨基/5-氨基荧光素/4-氨基荧光素/Fluorescein-Amine/FITC-NH2/科研级绿色荧光标记试剂/氨基修饰荧光素染料
- 新维创生物科技(重庆)有限公司 VIP
- 2026-04-25
- 询价
