基本信息 产品详情 公司简介 推荐产品
网站主页 化工产品目录 医药中间体 原料药中间体 PR171(卡非佐米)关键中间体 PR171(卡非佐米)关键中间体
  • PR171(卡非佐米)关键中间体

PR171(卡非佐米)关键中间体

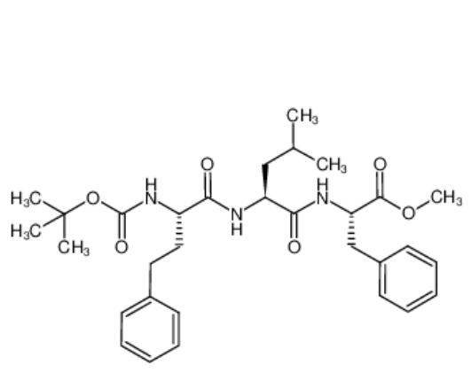
Boc-HPh-Leu-Phe-OMe
868539-96-2
询价 25KG 起订
陕西 更新日期:2026-03-13

陕西缔都医药化工有限公司

VIP5年
联系人:党经理
电话:02981123119拨打
手机:17391733320 拨打
邮箱:1048@dideu.com

产品详情:

中文名称:
PR171(卡非佐米)关键中间体
英文名称:
Boc-HPh-Leu-Phe-OMe
CAS号:
868539-96-2
纯度规格:
99%
产品类别:
中间体
中文名称PR171关键中间体IV英文名称(S)-methyl 2-((S)-2-tert.butoxycarbonyIamino-4-phenylbutanamido-4-methylpentanamido)-3-phenylpropanoate
中文别名

N-[(S)-2-(叔丁氧羰基氨基)-4-苯基丁酰基]-L-亮氨酰-L-苯丙氨酸甲酯;PR171(卡非佐米)关键中间体;

英文别名

N-[(S)-2-(tert-Butoxycarbonylamino)-4-phenylbutanoyl]-L-leucyl-L-phenylalaninemethylester;tert-Butyloxycarbonyl-leucylphenylalanine methyl ester;(S)-methyl 2-((S)-2-tert.butoxycarbonyIamino-4-phenylbutanamido-4-methylpentanamido)-3-phenylpropanoate;Boc-HPh-Leu-Phe-Ome;L-Phenylalanine, (AlphaS)-Alpha-[[(1,1-dimethylethoxy)carbonyl]amino]benzenebutanoyl-L-leucyl-, methyl ester;

CAS号868539-96-2分子式C31H43N3O6
分子量553.69000精确质量553.31500
PSA122.83000LOGP5.11660



CAS号:868539-96-2;PR171(卡非佐米)关键中间体;PR171(卡非佐米)关键中间体;

公司简介

缔都是一家以化学技术为导向的创新型企业,核心能力集中在医药api,医药中间体,保健品活性组分开发和农业化学品原药以及新剂型研发生产领域。缔都为创新产品和解决方案研发新分子,以改善人类、动物和植物的健康。这些研发活动基于对生命体生化过程的深刻认识。借助产品,缔都将不断为找到应对当今时代一些重大挑战的解决方案做出贡献。日益增长且不断老龄化的世界人口要求更好的医疗保健和足够的绿色农作物食物供应。通过预防、缓解和治疗疾病,缔都不断改善人类的生活品质。缔都作为一家致力于用化学科技来改善人类健康,维护动物保健,和提高全球农作物产率和食品质量的科技创新性企业,期待着和全球伙伴一起为全球生态做出贡献!

成立日期 (10年)
注册资本 1000万
员工人数 500人以上
年营业额 ¥ 1亿以上
经营模式 工厂
主营行业 化学农药原药,食品与饲料添加剂,催化剂及助剂,有机原料,医药原料

PR171(卡非佐米)关键中间体相关厂家报价 更多

内容声明
拨打电话 立即询价