1159408-64-6
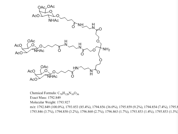
C79H128N10O36
询价
1G
起订
100G
起订
广东 更新日期:2026-01-26
产品详情:
- 中文名称:
- C79H128N10O36
- 英文名称:
- C79H128N10O36
- CAS号:
- 1159408-64-6
- 产品类别:
- Linker
公司简介
深圳羽众医药科技有限公司成立于2016年,公司致力于多肽仿制药,多肽药物中间体,多肽新药的开发与技术转让。目前有研发实验室370平米,有HPLC、RP-HPLC、质谱等仪器设备,具有完整的多肽研发体系。
| 成立日期 | (10年) |
| 注册资本 | 50万 |
| 员工人数 | 10-50人 |
| 年营业额 | ¥ 100万-300万 |
| 经营模式 | 定制,服务 |
| 主营行业 | 中间体,医药原料,医药中间体,合成材料中间体,氨基酸及其衍生物 |
C79H128N10O36相关厂家报价
-
- Tri-GalNAc(OAc)3
- 成都酶凯医药科技有限责任公司 VIP
- 2026-04-16
- ¥100
-
- Tri-GalNAc(OAc)3
- 天津奥利芙生物技术有限公司 VIP
- 2026-03-19
- 询价
-
- Tri-GalNAc(OAc)3
- 上海科泽永欣生物科技有限公司 VIP
- 2025-08-05
- 询价