基本信息 产品详情 公司简介 推荐产品
网站主页 THIOL-PEG6-T-BUTYL ESTER
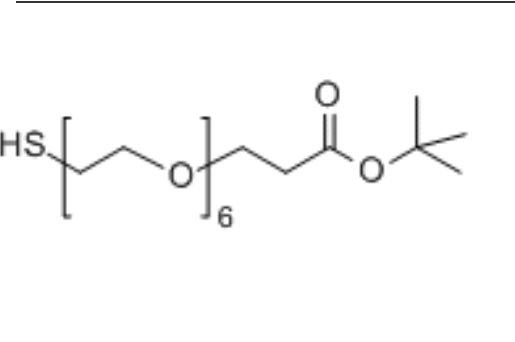
  • SH-PEG6-CH2CH2COOtBu 1818294-40-4

SH-PEG6-CH2CH2COOtBu 1818294-40-4

SH-PEG6-CH2CH2COOtBu
询价 1mg 起订
陕西 更新日期:2026-02-04

西安齐岳生物科技有限公司

VIP5年
联系人:李先生
电话:400-400-6966-012-012拨打
手机:17778955912 拨打
邮箱:2957605606@qq.com

产品详情:

英文名称:
SH-PEG6-CH2CH2COOtBu
CAS号:
1818294-40-4
产品类别:
peg

PEG衍生物又称PEG(聚乙二醇)修饰剂,修饰性PEG等。是带有官能团的PEG,目前主要用于蛋白质药物修饰,以增加体内半衰期,降低免疫原性,同时还可以增加药物的水溶性。近几年来PEG衍生物在制药研发中应用广泛,在药物药效缓释中起到重要作用。

英文名称:SH-PEG6-CH2CH2COOtBu 

CAS#:1818294-40-4

纯度:≥95%

保存条件:-5°C以下贮存,干燥,避光

分子量:分子量可根据需求定制

状态:白色固体或者粘稠液体,取决于分子量大小

溶解性:溶于大部分有机溶剂,溶于水。

注意事项:取用一定要干燥,避免频繁的溶解和冻干

产品用途:

应用于科学研究,药物释放,纳米技术和新材料研究,细胞培养。 以及配体研究,多肽合成支持,接枝高分子化合物,新材料和聚乙二醇改性功能涂层等活性化合物方面。

级别:科研级

产地:西安

供应商:西安齐岳生物科技有限公司

相关产品:

mPEG-Palmitic acid

mPEG-OPSS

mPEG-OLA

mPEG-OH

mPEG-NTA

mPEG-NPC

mPEG-NMe3+Br-

mPEG-Niacin

mPEG-NH-SA-OC30


SH-PEG6-CH2CH2COOtBu;1818294-40-4;

公司简介

西安齐岳生物科技有限公司是国内一家生物科技公司,我公司生产销售科研级别的药物传递和药物纳米靶向方面的产品,公司目前经营的产品主要有合成磷脂,PEG衍生物,嵌段共聚物,纳米金,磁性纳米颗粒,介孔二氧化硅,活性荧光染料,荧光量子点,点击化学和大环配体等等

成立日期 (11年)
注册资本 伍拾万元人民币
员工人数 10-50人
年营业额 ¥ 100万以内
经营模式 试剂,定制,服务,试剂,定制,服务
主营行业 中间体,中间体,化学试剂,化学试剂

SH-PEG6-CH2CH2COOtBu相关厂家报价

  • SH-PEG-SH
  • SH-PEG-SH
  • 北京键凯科技股份有限公司 VIP
  • 2026-03-02
  • 询价
内容声明
拨打电话 立即询价