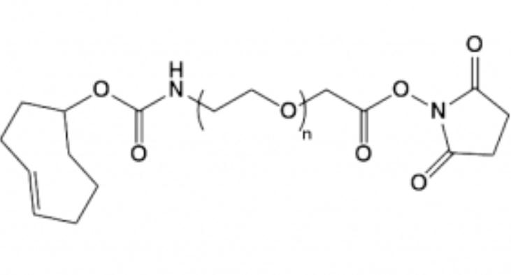
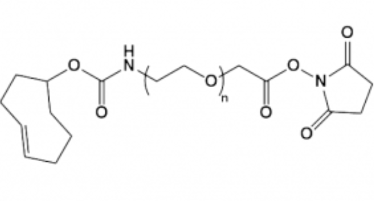
反式环辛烯聚乙二醇活性酯
TCO-PEG-NHS
询价
5mg
起订
陕西 更新日期:2026-02-04
产品详情:
- 中文名称:
- 反式环辛烯聚乙二醇活性酯
- 英文名称:
- TCO-PEG-NHS
- 产品类别:
- 点击化学
公司简介
西安齐岳生物科技有限公司是国内一家生物科技公司,我公司生产销售科研级别的药物传递和药物纳米靶向方面的产品,公司目前经营的产品主要有合成磷脂,PEG衍生物,嵌段共聚物,纳米金,磁性纳米颗粒,介孔二氧化硅,活性荧光染料,荧光量子点,点击化学和大环配体等等
| 成立日期 | (11年) |
| 注册资本 | 伍拾万元人民币 |
| 员工人数 | 10-50人 |
| 年营业额 | ¥ 100万以内 |
| 经营模式 | 试剂,定制,服务,试剂,定制,服务 |
| 主营行业 | 中间体,中间体,化学试剂,化学试剂 |
反式环辛烯聚乙二醇活性酯相关厂家报价
-
- 环辛烯聚乙二醇活性酯 活性酯聚乙二醇环辛烯 TCO-PEG-NHS NHS-PEG-TCO
- 上海拓旸生物科技有限公司 VIP
- 2026-01-21
- 询价
-
- TCO-PEG-NHS,反式环辛烯-聚乙二醇-琥珀酰亚胺酯
- 西安凯新生物科技有限公司 VIP
- 2025-09-08
- 询价
-
- aladdin 阿拉丁 T164346 TCO PEG NHS MW 5000 Da
- 上海阿拉丁生化科技股份有限公司 VIP
- 2025-05-16
- ¥906.90
