基本信息 产品详情 公司简介 推荐产品
网站主页 化工产品目录 催化剂及助剂 聚合物 甲氧基聚乙二醇-聚赖氨酸 甲氧基聚乙二醇-聚赖氨酸
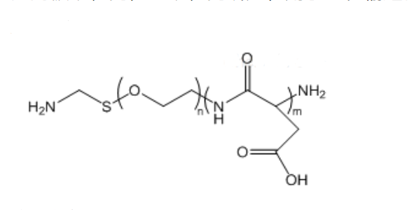
  • 甲氧基聚乙二醇-聚赖氨酸

甲氧基聚乙二醇-聚赖氨酸

mPEG5k-PLL2k
询价 5mg 起订
陕西 更新日期:2026-02-04

西安齐岳生物科技有限公司

VIP5年
联系人:李先生
电话:400-400-6966-012-012拨打
手机:17778955912 拨打
邮箱:2957605606@qq.com

产品详情:

中文名称:
甲氧基聚乙二醇-聚赖氨酸
英文名称:
mPEG5k-PLL2k
产品类别:
peg

中文名称:甲氧基聚乙二醇-聚赖氨酸

英文名称:mPEG-PLL

纯度:≥95%

保存条件:-5°C以下贮存,干燥,避光

分子量:分子量可根据需求定制

状态:白色固体或者粘稠液体,取决于分子量大小

溶解性:溶于大部分的有机溶剂。

注意事项:取用一定要干燥,避免频繁的溶解和冻干

级别:科研级

产地:西安

供应商:西安齐岳生物科技有限公司

相关产品:

PLGA-PEG-COOH MW:15000,5000

PLGA-mPEG( MW,PLGA:45000 PEG:5000) 50:50

PLL10-PEG114

DSPE-PEG2K-ICG

mPEG5000-S-S-NH2

PEG-PMMA MW:10500,18000

4 arm PEG NHS 20 K

8 arm PEG NHS 40 K

DSPE-PEG-COOH,MW:2000


mPEG5k-PLL2k;甲氧基聚乙二醇-聚赖氨酸;mPEG-PLL;

公司简介

西安齐岳生物科技有限公司是国内一家生物科技公司,我公司生产销售科研级别的药物传递和药物纳米靶向方面的产品,公司目前经营的产品主要有合成磷脂,PEG衍生物,嵌段共聚物,纳米金,磁性纳米颗粒,介孔二氧化硅,活性荧光染料,荧光量子点,点击化学和大环配体等等

成立日期 (11年)
注册资本 伍拾万元人民币
员工人数 10-50人
年营业额 ¥ 100万以内
经营模式 试剂,定制,服务,试剂,定制,服务
主营行业 中间体,中间体,化学试剂,化学试剂

甲氧基聚乙二醇-聚赖氨酸相关厂家报价

内容声明
拨打电话 立即询价