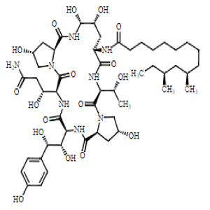
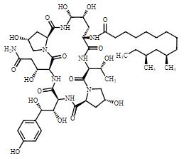
卡泊芬净肺炎菌素C0杂质
Caspofungin Pneumocandin C0 Impurity
144074-96-4
144074-96-4
询价
25mg
起订
100mg
起订
200mg
起订
广东 更新日期:2025-09-15
产品详情:
- 中文名称:
- 卡泊芬净肺炎菌素C0杂质
- 英文名称:
- Caspofungin Pneumocandin C0 Impurity
- CAS号:
- 144074-96-4
- 品牌:
- GP
- 纯度规格:
- 98+
- 产品类别:
- 其它杂质
- 级别:
- 医药级
公司简介
优势供应阿莫西林克拉维酸钾杂质,头孢类杂质
| 成立日期 | (6年) |
| 注册资本 | 100万 |
| 员工人数 | 10-50人 |
| 年营业额 | ¥ 100万以内 |
| 经营模式 | 贸易,定制,服务 |
| 主营行业 | 化学试剂,医药中间体,青霉素类,大环内酯类,其他抗感染类 |
卡泊芬净肺炎菌素C0杂质相关厂家报价
-
- CATO_卡泊芬净肺炎球B0杂质_135575-42-7_97%
- 广州佳途科技股份有限公司 VIP
- 2026-04-14
- 询价
-
- 卡泊芬净杂质
- 天津始加生物医药科技有限公司 VIP
- 2026-04-13
- 询价
-
- 卡泊芬净杂质QA
- 深圳市恒丰万达医药科技有限公司 VIP
- 2026-04-14
- 询价
