基本信息 产品详情 公司简介 推荐产品
网站主页 化工产品目录 原料药 激素及调节内分泌功能类药 胸腺法新 胸腺法新
  • 胸腺法新 69440-99-9

胸腺法新 69440-99-9

Thymosin alpha 1
69440-99-9
询价 100克 起订
500克 起订
湖北 更新日期:2026-04-08

湖北丽都新材料科技有限公司

VIP4年
联系人:高经理
电话:19307248857拨打
手机:19307248857 拨打
邮箱:1901338096@qq.com

产品详情:

中文名称:
胸腺法新
英文名称:
Thymosin alpha 1
CAS号:
69440-99-9
纯度规格:
98%
产品类别:
医药中间体

基本信息

CAS:69440-99-9
中文名称:胸腺法新
英文名称:Thymosin alpha 1
常用名:
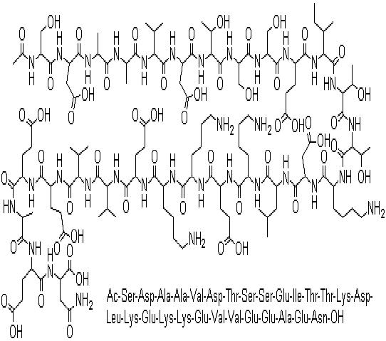
英文别名:Thymalfasin L-Asparagine, N-acetyl-L-seryl-L-alpha-aspartyl-L-alanyl-L-alanyl-L-valyl-L-alpha-asparatyl-L-threonyl-L-seryl-L-seryl-L-alpha-glutamyl-L-isoleucyl-L-threonyl-L-threonyl-L-lysyl-L-alpha-aspartyl-L-leucyl-L-lysyl-L-alpha-
分子式:C129H215N33O55
分子量:3108.3



69440-99-9;胸腺法新;Thymosin alpha 1;

公司简介

湖北丽都新材料科技有限公司成立于2021年9月公司立足于发展新型材料的研发生产销售

成立日期 (5年)
注册资本 100万(元)
员工人数 1-10人
年营业额 ¥ 100万以内
经营模式 工厂
主营行业 医药中间体,合成材料中间体,其他中间体

胸腺法新相关厂家报价 更多

  • 胸腺法新
  • 胸腺法新
  • 武汉维斯尔曼生物工程有限公司 VIP
  • 2026-04-08
  • 询价
  • Thymalfasin
  • Thymalfasin
  • 浙江杰坤生物科技有限公司 VIP
  • 2026-04-08
  • 询价
  • 胸腺法新
  • 胸腺法新
  • 珀尔生物科技(聊城市)有限公司 VIP
  • 2026-04-07
  • 询价
内容声明
拨打电话 立即询价