基本信息 产品详情 公司简介 推荐产品
网站主页 DSPE-PEG14-COOH DSPE-PEG-COOH
  • DSPE-PEG14-COOH DSPE-PEG-COOH

DSPE-PEG14-COOH DSPE-PEG-COOH

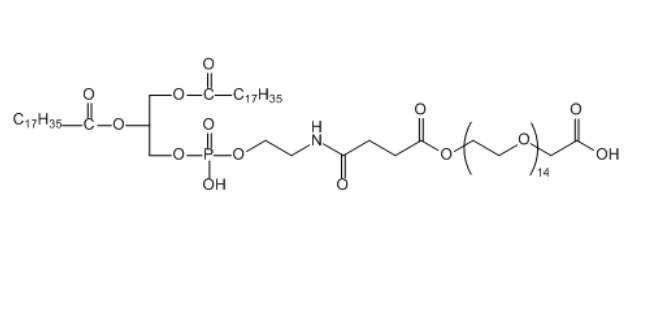
DSPE-PEG14-COOH
询价 5mg 起订
陕西 更新日期:2026-02-04

西安齐岳生物科技有限公司

VIP5年
联系人:李先生
电话:400-400-6966-012-012拨打
手机:17778955912 拨打
邮箱:2957605606@qq.com

产品详情:

中文名称:
DSPE-PEG-COOH
英文名称:
DSPE-PEG14-COOH
产品类别:
peg

英文名称:DSPE-PEG14-COOH

产品纯度:

≥95%

分子式:

C75H144NO27P

分子量:

1523

级别:科研

产地:西安

供应商:西安齐岳生物科技有限公司

其他产品:

SH-PEG-Ciprofloxacin

SH-PEG-Metronidazole

SH-PEG-Raltitrexed

SH-PEG-Pemetrexed

SH-PEG-sulfadimethoxine

SH-PEG-anisamide

SH-PEG-Estrogen

SH-PEG-Adamantine

SH-PEG-Azithromycin

SH-PEG-NTA-NI

SH-PEG-RGD

SH-PEG-cRGD

SH-PEG-Angiopep


DSPE-PEG14-COOH;DSPE-PEG-COOH;

公司简介

西安齐岳生物科技有限公司是国内一家生物科技公司,我公司生产销售科研级别的药物传递和药物纳米靶向方面的产品,公司目前经营的产品主要有合成磷脂,PEG衍生物,嵌段共聚物,纳米金,磁性纳米颗粒,介孔二氧化硅,活性荧光染料,荧光量子点,点击化学和大环配体等等

成立日期 (11年)
注册资本 伍拾万元人民币
员工人数 10-50人
年营业额 ¥ 100万以内
经营模式 试剂,定制,服务,试剂,定制,服务
主营行业 中间体,中间体,化学试剂,化学试剂

DSPE-PEG-COOH相关厂家报价

内容声明
拨打电话 立即询价