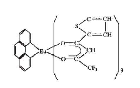
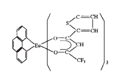
稀土铕配合物 Eu(TTA)3phen
Eu(TTA)3phen
17904-86-8
17904-86-8
询价
2mg
起订
陕西 更新日期:2026-02-04
产品详情:
公司简介
西安齐岳生物科技有限公司是国内一家生物科技公司,我公司生产销售科研级别的药物传递和药物纳米靶向方面的产品,公司目前经营的产品主要有合成磷脂,PEG衍生物,嵌段共聚物,纳米金,磁性纳米颗粒,介孔二氧化硅,活性荧光染料,荧光量子点,点击化学和大环配体等等
| 成立日期 | (11年) |
| 注册资本 | 伍拾万元人民币 |
| 员工人数 | 10-50人 |
| 年营业额 | ¥ 100万以内 |
| 经营模式 | 试剂,定制,服务,试剂,定制,服务 |
| 主营行业 | 中间体,中间体,化学试剂,化学试剂 |
稀土铕配合物相关厂家报价
-
- EDTA螯合稀土
- 广东明通生物科技有限公司 VIP
- 2026-04-15
- ¥60
-
- EDTA螯合稀土
- 江苏采薇生物科技有限公司 VIP
- 2026-04-15
- ¥60
-
- EDTA螯合稀土
- 湖北海嘉生物科技有限公司 VIP
- 2026-04-15
- ¥60
-
- Eu(TTA)3phen,三 (噻吩甲酰三氟丙酮) 铕邻菲啰啉,17904-86-8
- 陕西星贝爱科生物科技有限责任公司 VIP
- 2026-03-07
- 询价
-
- aladdin 阿拉丁 P121293 (1,10-菲咯啉)三[4,4,4-三氟-1-(2-噻吩基)-1,3-丁二酮]铕(III) 17904-86-8 98%
- 上海阿拉丁生化科技股份有限公司 VIP
- 2025-11-14
- ¥319.90
