基本信息 产品详情 公司简介 推荐产品
网站主页 DSPE(Sodium salt)-PEG-NH2
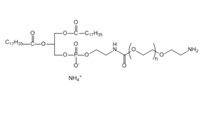
  • DSPE(Sodium salt)-PEG-NH2

DSPE(Sodium salt)-PEG-NH2

DSPE(Sodium salt)-PEG-NH2
询价 5mg 起订
陕西 更新日期:2026-04-21

西安齐岳生物科技有限公司

VIP5年
联系人:李先生
电话:400-400-6966-012-012拨打
手机:17778955912 拨打
邮箱:2957605606@qq.com

产品详情:

英文名称:
DSPE(Sodium salt)-PEG-NH2
产品类别:
peg

英文名称:DSPE(Sodium salt)-PEG-NH2

产品纯度:

≥95%

状态:白色固体或者粘稠液体,取决于分子量大小

溶解性:溶于大部分的有机溶剂。

注意事项:取用一定要干燥,避免频繁的溶解和冻干

保存条件:-5°C以下贮存,干燥,避光

分子量:分子量可根据需求定制

级别:科研

产地:西安

供应商:西安齐岳生物科技有限公司

温馨提示:仅用于科研实验

相关产品: 

ADC conjugation

Acrylamide(ACA) PEG

AC-PEG-SVA

AC-PEG-SS-PEG-AC

AC-PEG-SS

AC-PEG-Silane


DSPE(Sodium salt)-PE;

公司简介

西安齐岳生物科技有限公司是国内一家生物科技公司,我公司生产销售科研级别的药物传递和药物纳米靶向方面的产品,公司目前经营的产品主要有合成磷脂,PEG衍生物,嵌段共聚物,纳米金,磁性纳米颗粒,介孔二氧化硅,活性荧光染料,荧光量子点,点击化学和大环配体等等

成立日期 (11年)
注册资本 伍拾万元人民币
员工人数 10-50人
年营业额 ¥ 100万以内
经营模式 试剂,定制,服务,试剂,定制,服务
主营行业 中间体,中间体,化学试剂,化学试剂

DSPE(Sodium salt)-PEG-NH2相关厂家报价

  • DSPE-PEG-NH2
  • DSPE-PEG-NH2
  • 诺必纯(上海)化学有限公司 VIP
  • 2025-03-12
  • 询价
内容声明
拨打电话 立即询价