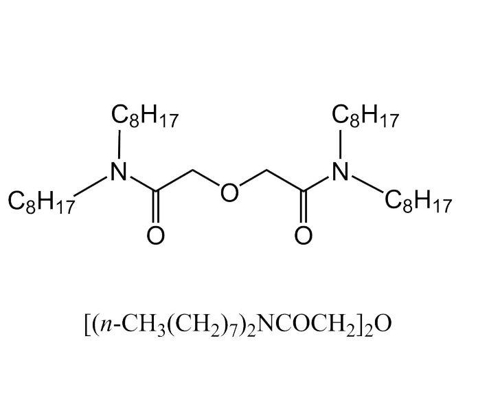
产品名称:TODGA
产品编码:230
产品级别:普通(Safe goods)
分子式:((N-Oct)2N-CO-CH2)2O
CAS号:342794-43-8
纯度:>97%
分子量:580.97
规格:5g、10g、20g、50g、100g
详细质检报告、图谱等,请联系我们索取

维百奥(北京)生物科技有限公司代理Katchem公司全系列产品。
产品主要包括:
(1)硼酸盐和碳硼酸盐簇
(2)COSANes
(3)金属硼氢化物
(4)硼砂及其衍生物
(5)路易斯碱配合物
(6)硼酸和酯
(7)BNCT用化合物
(8)非硼化合物
(9)二氨基甲酸盐和催化系统等
更多详情请联系 :
维百奥(北京)生物科技有限公司
全国服务热线:400-001-2615
邮箱:info@vicbio.com
网站:www.vicbio.com
CAS#: 1004-35-9; 108608-25-9; 109742-44-1; 109788-95-6; 109851-98-1; 111637-82-2; 113678-30-1; 1158949-97-3; 115959-96-1; 1162010-09-4; 1166383-94-3; 1177403-84-7; 117981-99-4; 12007-45-3; 12008-58-1; 12008-61-6; 12008-72-9; 12008-75-2; 12008-77-4; 12008-78-5; 12008-78-5; 12073-87-9; 12075-73-9; 12076-74-3; 12106-44-4; 121-43-7; 121919-79-7; 121919-79-7; 122042-59-5; 12294-20-1; 12304-97-1; 12305-33-8; 1232168-57-8; 12356-10-4; 12360-16-6; 12373-10-3; 12373-10-3; 1242073-72-8; 12447-89-1; 12448-23-6; 12448-24-7; 1252604-78-6; 1253735-09-9; 12539-20-7; 12539-26-3; 12543-22-5; 12551-42-7; 12589-26-3; 12598-46-8; 12602-34-5; 1291083-31-2; 1291083-36-7; 130207-66-8; 1309461-44-6; 13292-87-0; 1347742-48-6; 1347742-49-7; 135274-62-3; 13774-81-7; 13774-81-7; 139980-20-4; 139980-21-5; 1417734-35-0; 1417734-37-2; 1417734-38-3; 1423066-18-5; 1445366-23-3; 144885-51-8; 149211-37-0; 15246-28-3; 15681-89-7; 1629094-86-5 anhyd.; 1629094-87-6 anhyd.; 163779-13-3; 163779-14-4; 163779-17-7; 163779-18-8; 16390-61-7; 167568-99-2; 16872-09-6; 16872-10-9; 16903-37-0; 16940-66-2; 16986-24-6; 16996-48-8; 17032-21-2; 17068-95-0; 1722-26-5; 17378-55-1; 17440-13-0; 17526-07-7; 175476-43-4; 176099-40-4; 17631-41-3; 17653-38-2; 17702-35-1; 17702-41-9; 17830-03-4; 18178-04-6; 18581-81-2; 188478-29-7; 18971-67-0; 19193-36-3; 19496-84-5; 19610-34-5; 19610-37-8; 196303-93-2; 20214-17-9; 20233-17-4; 20346-99-0; 20644-12-6; 20670-09-1; 20740-05-0; 2077150-90-2 anhyd.; 2077207-91-9; 207742-78-7; 207742-80-1; 210707-88-3; 21107-45-9; 21107-56-2; 212697-88-6; 2169943-32-0; 2230877-77-5; 223548-06-9; 22722-98-1; 22742-19-4; 23087-99-2; 23653-12-6; 23704-81-6; 23810-63-1; 23810-64-2; 23835-80-5; 23868-57-7; 23924-78-9; 23940-16-1; 23987-99-7; 23988-02-5; 24228-77-1; 28056-42-0; 280762-92-7; 28377-92-6; 28377-97-1; 29911-74-8; 31117-16-5; 322477-89-4; 33220-35-8; 3349-42-6; 34007-72-2; 342794-43-8; 36548-55-7; 39336-51-1; 41655-26-9; 41655-27-0; 459142-76-8; 4680-65-3; 4832-27-3; 488806-75-3; 51391-30-1; 51745-90-5 anhyd.; 52261-21-9; 52261-22-0 anhyd.; 52261-23-1; 53257-04-8; 53572-04-6 anhyd.; 54360-43-9; 54531-56-5; 55629-26-0; 55629-27-1; 56189-13-0; 56310-80-6; 60146-18-1; 60294-96-4; 61653-92-7; 62036-78-6; 63748-65-2; 64493-43-2; 64493-44-3; 64663-20-3; 64663-20-3; 64719-84-2 anhyd; 64719-89-7 anhyd; 6569-51-3; 669087-46-1; 68084-95-7; 69985-41-7; 72620-97-6; 72901-46-3; 72901-46-3; 72901-47-4; 74-94-2; 749831-19-4; 75397-93-2; 75572-47-3; 760207-79-2; 76410-58-7; 77069-36-4; 77074-21-6; 80994-59-8; 84913-29-1; 84933-24-4; 868382-62-1; 88423-95-4; 90157-87-2 anhyd.; 92468-34-3; 92468-37-6 anhyd.; 92468-38-7; 92468-39-8; 92468-40-1; 933-18-6; 933675-78-6; 943026-62-8; 94322-25-5 anhyd.; 94322-26-6; 94322-27-7; 94322-28-8; 94601-45-3; 99492-72-5
Product Name: Sodium triborate dioxane; Cesium triborate; LIthium triborate dioxane; Triethylammonium decahydrodecaborate; Tetramethylammonium decahydrodecaborate; Sodium decahydrodecaborate; Ammonium decahydrodecaborate; Potassium decahydrodecaborate; Cesium decahydrodecaborate; Lithium decahydrodecaborate, trihydrate; Calcium decahydrodecaborate, trihydrate; Cesium decachlorodecaborate; Cesium decabromodecaborate; Cesium decaiododecaborate; Cesium tetradecahydroundecaborate; Triethylammonium tetradecahydroundecaborate; Potassium tetradecahydroundecaborate; Sodium tetradecahydroundecaborate; Trimethylammonium tetradecahydroundecaborate; Lithium tetradecahydroundecaborate, trihydrate; Calcium tetradecahydroundecaborate, dihydrate; Triethylammonium dodecahydrododecaborate; Cesium dodecahydrododecaborate; Potassium dodecahydrododecaborate; Sodium dodecahydrododecaborate; Sodium dodecahydrododecaborate anhydrous,<0.1% lithium="" magnesium="" cobalt="" calcium="" dodecahydrododecaborate="" rubidium="" sodium="" cesium="" tetramethylammonium="" syn="" anti="" mixture="" of="" -="" and="" triethylammonium="" decahydrodecaborate="" mercaptododecaborate="" trimethylammonium="" potassium="" carbadodecaborate="" closo="" 8-dicarbaundecaborate="" 9-dicarbaundecaborate="" isotopic="" enrichment:="" 10b="">99.5%); Decaborane(14) 11B(Isotopic enrichment: 11B >99.8%); o -Carborane; 1-Methyl-o -carborane; 1-Bromomethyl-o -carborane; 1,2-Dimethyl-o -carborane; 1-n-Propyl-o -carborane; 1-Hexyl-o -carborane; 1,2-Dihexyl-o -carborane; 1-Phenyl-o -carborane; 1,2-Didodecyl-o -carboran; 1-Methyl-2-propargyl-o -carborane; 1-Hydroxymetyl-o -carborane; 1,2-Bis(hydroxymethyl)-o -carborane; o -Carborane-1-carboxylic acid; o -Carborane-1,2-dicarboxylic acid; 1-Trimethylsilyl-o -carborane; 1-Hydroxy-o -carborane; 1,2-Dihydroxy-o -carboran; 1-Mercapto-o -carborane; 1,2-Dimercapto-o -carbora; 9-Iodo-o -carborane; 9,12-Diiodo-o -carborane; 9-Mercapto-o -carborane; 9,12-Dimercapto-o -carborane; 8,9,12-Trimercapto-o -carborane; m -Carborane; 1-Methyl-m -carborane; 1-Allyl-7-methyl-m -carbor; 1,7-Diallyl-m -carborane; 1,7-Bis(hydroxymethyl)-m -carborane; m -Carborane-1-carboxylic acid; 1,7-Bis(chlordimethylsilyl)-m -carborane; 1,7-Bis(methoxydimethylsilyl)-m -carborane; 1,7-Bis(hydroxydimethylsilyl)-m -carborane; 1-Vinyldimethylsilyl-m -carborane; 1,7-Bis(vinyltetramethyldisiloxy)-m -carborane; 1-Hydroxy-m -carborane; 1,7-Dihydroxy-m -carbora; 1-Mercapto-m -carborane; 1,7-Dimercapto-m -carborane; 9-Mercapto-m -carborane; p -Carborane; p -Carborane-1,12-dicarboxylic acid; 1-Hydroxy-p -carborane; 1,12-Dihydroxy-p -carbora; 1-Mercapto-p -carborane; 1,12-Dimercapto-p -carborane; 4,5-Dicarba-arachno -nonaborane(13); 4,6-Dicarba-arachno -nonaborane(13); 6,9-Dicarba-arachno -decaborane(14); 5,6-Dicarba-nido -decaborane(12); Ten-vertex-o -carborane; Ten-vertex-m -carborane; Ten-vertex-p -carborane; o -Carborane 10B; 1-Methyl-o -carborane 10B; m -Carborane 10B; o -Carborane 11B; m -Carborane 11B; COSAN; Chloro-protected cesium bis(1,2-dicarbollide)-cobaltate; Bromo-protected cesium bis(1,2-dicarbollide)-cobaltate; COSAN dioxanate; NISAN; FESAN; Lithium COSAN; Sodium COSAN; Sodium borohydride; Rubidium borohydride; Cesium borohydride; Calcium borohydride; Magnesium borohydride; Lithium borodeuteride; Lithium borohydride 10B; Lithium borodeuteride 10B; Lithium borohydride 11B; Lithium borodeuteride 11B; Lithium borohydride 7Li; Lithium borodeuteride 7Li; Lithium borohydride 7Li, 10B; Lithium borodeuteride 7Li, 10B; Lithium borohydride 7Li, 11B; Lithium borodeuteride 7Li,11B; Sodium borodeuteride; Sodium borohyride 10B; Sodium borodeuteride 10B; Sodium borohyride 11B; Sodium borodeuteride 11B; Potassium borodeuteride; Potassium borohyride 10B; Potassium borodeuteride 10B; Potassium borohyride 11B; Potassium borodeuteride 11B; Calcium borodeuteride; Calcium borohydride 10B; Calcium borohydride 11B; Calcium borodeuteride 11B; Magnesium borohydride 11B; Cesium borohydride 11B; Cesium borodeuteride 11B; Rubidium borohydride 11B; Rubidium borodeuteride 11B; Dimethylamine borane complex, DMAB; Ammonia borane complex; Ammonia borane complex +90% (purity >90%); Triethylamine borane complex; Dimethylsulfide borane complex, 10M solution in Me2S (d=0.8g/ml 26°C); Ammonia borane complex 10B; Ammonia borane complex 11B; Deuteroammonia deuteroborane complex 11B; Deuteroammonia deuteroborane complex; Triethylamine deuteroborane complex; Triethylamine borane complex 10B; Triethylamine deuteroborane complex 10B; Triethylamine borane complex 11B; Triethylamine deuteroborane complex 11B; Dimethylsulfide deuteroborane complex (purity > 95%); Dimethylsulfide borane complex 10B(purity > 95%); Dimethylsulfide deuteroborane complex 10B(purity > 95%); Dimethylsulfide borane complex 11B(purity > 95%); Dimethylsulfide deuteroborane complex 11B(purity > 95%); 4-Borono-L-phenylalanine, L-BPA; Trimethylborate; Trimethylborate 10B; Tri-n-butylborate 10B; Triphenylborate 10B; Trimethylborate 11B; Tri-n-butylborate 11B; Triphenylborate 11B; 4-Borono-L-phenylalanine 10B, BPA ( also provide BPA produced by GMP.); TODGA; DIHOCA dihexyloctanoyl amide; TEHDGA; 7Li-Lithium bromide; 7Li-Lithium iodide; 7Li-Lithium chloride; DILACTAMATE KATCHEM S; DILACTAMATE KATCHEM; SIM; Synhydrid; Borazine; 2,4,6-Trichloroborazine; Cesium hexabromocarbadodecaborate; Potassium 7,8-dicarbaundecaborate; Sodium decahydrodecaborate (11B); Rubidium carbadodecaborate; Potassium closo-1-carbadecaborate; Potassium carbaundecaborate; Potassium 7,9-dicarbaundecaborate; (2-Methylpropyl)boronic acid (10B); Rubidium closo-1-carbadecaborate; Cesium aminododecaborate; Cesium aminododecaborate (10B); Triethylammonium closo-1-carbadecaborate; 4-Boronobenzoic acid (10B); Magnesium carbadodecaborate trihydrate; Ammonium carbadodecaborate; Cesium thiadecaborate; Sodium aminododecaborate (10B); nido-7-Thiaundecaborane; 1,3,5-Trimethylborazine; Borazine (10B); Borazine (11B); 1,3,5-Trimethyl-2.4.6-trichloroborazine; Triphenylmethinium hexachlorocarbadodecaborate; Trimethylammonium hexachlorocarbadodecaborate; Mixture of lithium salts of carbadodecaborate and closo-1-carbadecaborate hydrates; Lithium methoxide (7Li); Cesium dodecabromododecaborate; Triethylammonium dodecadeuterododecaborate (11B); Cesium dodecadeuterododecaborate (11B); Cesium dodecachlorododecaborate; 1-Mercapto-decaborane; o-Carborane-1-carbonylchloride; 1-Hydroxymethyl-m-carborane; p-Carborane (10B); Sodium borohydride (11B)