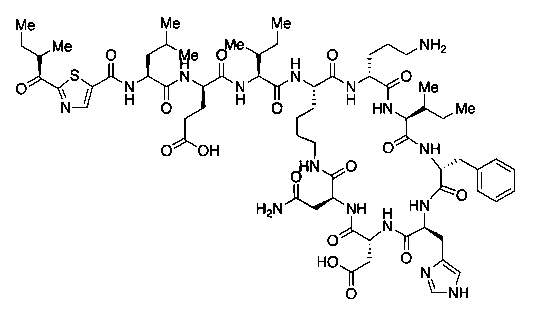
杆菌肽F
Bacitracin F
22601-63-4
22601-63-4
询价
10mg
起订
25mg
起订
50mg
起订
广东 更新日期:2026-04-16
产品详情:
公司简介
深圳振强药物研发有限公司(QCS药物研发中心)—— 全球药物对照品研发创新平台的引领者:专注于药物对照品与杂质研究的国际化创新平台,致力于为全球制药行业提供高纯度、可追溯、标准化的药物对照品及特殊小分子解决方案。公司以ISO 17034标准物质生产者认证和ISO 9001质量管理体系认证为核心,构建了覆盖研发、生产、检测的全链条技术体系,服务全球5000余家制药企业,产品覆盖100,000+种药物及杂质对照品,QCS品牌全球年销售体量超亿元人民币,服务人员规模达170+人,业务覆盖全球主要制药市场。
| 成立日期 | (5年) |
| 注册资本 | 500万元人民币 |
| 员工人数 | 50-100人 |
| 年营业额 | ¥ 1亿以上 |
| 经营模式 | 贸易,试剂,定制 |
| 主营行业 | 标准品和对照品,其他分析试剂 |
杆菌肽F相关厂家报价
-
- 杆菌肽
- 湖北威德利化学试剂有限公司 VIP
- 2026-03-23
- 询价
-
- 杆菌肽
- 南京都莱生物技术有限公司 VIP
- 2026-04-17
- 询价
-
- 杆菌肽
- 湖北鸿鑫瑞宇精细化工有限公司 VIP
- 2026-04-14
- ¥100.00
-
- 杆菌肽EP杂质E
- 北京艾普瑞特科技有限公司 VIP
- 2026-04-14
- 询价
-
- 化合物 Bacitracin F|T69718|TargetMol
- TargetMol中国(陶术生物) VIP
- 2026-04-02
- ¥17500



