基本信息 产品详情 公司简介 推荐产品
网站主页 骨化醇杂质 DCP 骨化三醇杂质14
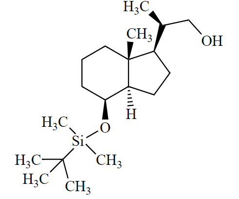
  • 	骨化三醇杂质14

骨化三醇杂质14

480 50mg 起订
广东 更新日期:2026-04-09

深圳摩科生化科技有限公司

VIP5年
联系人:陈经理
手机:18627923403 拨打
邮箱:3001039764@qq.com

产品详情:

中文名称:
骨化三醇杂质14
CAS号:
171011-48-6
品牌:
molcoo
产地:
武汉
保存条件:
低温
纯度规格:
95%
产品类别:
杂质对照品

深圳摩科生化科技有限公司  主营:药物标准品、药物杂质对照品、特色中间体、分析检测以及化合物定制合成服务,属于研发型公司,部分产品现货供应,承接定制合成项目。

摩科MOLCOO许经理17386083646(微信同号)           许经理 3001071511(QQ号)

更多热销项目:芦可替尼杂质,布瓦西坦杂质,比索洛尔杂质,氨甲环酸杂质,罗库溴铵杂质,布美他尼杂质,多巴酚丁胺杂质,溴已新葡萄糖复合物杂质,奥扎格雷杂质,阿伐曲泊帕杂质,硼替佐米杂质,帕拉米韦杂质,伊立替康杂质,舒更葡糖钠杂质,亚胺培南杂质,吲哚布芬杂质,替诺福韦杂质,卡比多巴杂质,西格列汀杂质,苯达莫司汀杂质,地塞米松磷酸钠杂质,布瓦西坦杂质,恩格列净杂质(含过氧化物 ,a异构体),卡格列净杂质(含过氧化物),达格列净杂质(含二聚体),重酒石酸间羟胺杂质,阿普斯特杂质,克林霉素磷酸酯杂质,利伐沙班杂质,阿哌沙班杂质,瑞舒伐他汀杂质,匹伐他汀杂质,奥拉西坦杂质,恩杂鲁胺杂质,非布司他(60个)杂质,他达那非杂质(包含D和F),奥美沙坦酯杂质,奥美拉唑杂质,氯吡格雷杂质,尼达尼布杂质,达泊西汀杂质,维格列汀杂质,替格瑞洛杂质,卡博替尼杂质,曲格列汀杂质,利格列汀杂质,达比加群酯杂质,艾曲波帕杂质,阿曲库铵杂质,依托考昔杂质等1000+杂质,可当天发货,价格优惠!


更多杂质需求,详询公司官网:http://www.molcoo.com/

 

备注:随货COA、HPLC、H-NMR、MS,满足基本需求客户也可根据自身需求,可另外检测C-NMR、红外、紫外、水分数据、定量核磁、二维谱等等。



实验室现货;

公司简介

公司专注于为医药研发单位提供新药及仿制药注册申报用化学产品,产品包括药物杂质对照品、标准品、医药中间体等,以及药物杂质制备分离纯化、未知杂质制备分离与结构鉴定。 我们Molcoo产品默认出库标准是:液相(HPLC)纯度不低于95%,特殊非常难以纯化的杂质如果低于95%,报价时我们会跟客户特别说明。 随货提供:COA、HPLC、H-NMR、MS,满足基本需求客户也可根据自身需求; 可另外检测C-NMR、红外、紫外、水分数据、定量核磁、二维谱等等。 新老客户我们还可以提供图谱解析服务、提供合成路线。我们真诚希望与您携手并进,合作共赢,在未来开创美好蓝天。

成立日期 (12年)
注册资本 500万人民币
员工人数 50-100人
年营业额 ¥ 100万-300万
经营模式 贸易,工厂,试剂,定制,服务
主营行业 分析化学,分析化学,分析化学,中间体,中间体,中间体,化学试剂,化学试剂,化学试剂,医药原料,医药原料,医药原料,标准品和对照品,标准品和对照品,标准品和对照品

骨化三醇杂质14相关厂家报价

内容声明
拨打电话 立即询价