基本信息 产品详情 公司简介 推荐产品
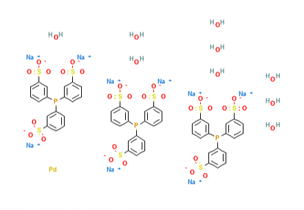
网站主页 化工产品目录 化学试剂 有机试剂 三(3,3′,3″-次膦基三(苯磺酸基)钯(0) 九钠盐 九水合物
  • 176483-72-0

176483-72-0

询价 5kg 起订
香港 更新日期:2023-02-06

NEW SANITARY INTERNATIONAL LIMITED

非会员
联系人:张***
电话:+86***
手机:155***
邮箱:ess***

产品详情:

CAS号:
176483-72-0
纯度规格:
98.00%
产品类别:
特殊定制化学品
无:
Molecular FormulaC54H54Na9O36P3PdS9
Synonyms

176483-72-0

Nonasodium;3-bis(3-sulfonatophenyl)phosphanylbenzenesulfonate;palladium;nonahydrate

Tris(3,3',3"-phosphinidynetris(benzenesulfonato)palladium(0) nonasodium salt nonahydrate

Tris(3,3',3"-phosphinidynetris(benzenesulfonato)palladium(0)nonasodiumsaltnonahydrate

Tris(3,3',3''-phosphinidynetris(benzenesulfonato)palladium(0) nonasodium salt nonahydrate


Molecular Weight

1973.8


无;

公司简介

N/A

成立日期 (23年)
注册资本 340万美元
员工人数 10-50人
年营业额 ¥ 300万-500万
经营模式 贸易,工厂,服务
主营行业 中间体,有机原料,医药原料

相关厂家报价

内容声明
拨打电话 立即询价