基本信息 产品详情 公司简介 推荐产品
网站主页 叔丁氧羰基氨基-四聚乙二醇-丙烯酰胺 叔丁氧羰基氨基-四聚乙二醇-丙烯酰胺
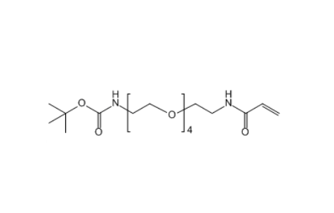
  • Boc-NH-PEG4-ACA 叔丁氧羰基氨基-四聚乙二醇-丙烯酰胺

Boc-NH-PEG4-ACA 叔丁氧羰基氨基-四聚乙二醇-丙烯酰胺

Boc-NH-PEG4-ACA
询价 5mg 起订
陕西 更新日期:2026-04-21

西安齐岳生物科技有限公司

VIP5年
联系人:李先生
电话:400-400-6966-012-012拨打
手机:17778955912 拨打
邮箱:2957605606@qq.com

产品详情:

中文名称:
叔丁氧羰基氨基-四聚乙二醇-丙烯酰胺
英文名称:
Boc-NH-PEG4-ACA
产品类别:
peg

中文名称:叔丁氧羰基氨基-四聚乙二醇-丙烯酰胺

英文名称:Boc-NH-PEG4-ACA

英文别名:

Boc-amino-PEG4-Acrylamide

产品纯度:

≥95%

分子式:

C18H34N2O7

质量:95%+

溶剂:氯仿,DMSO等部分有机溶剂。分子量:我们提供常规的分子量,也可以根据客户需求进行定制

分散系数:小于等于1.05

储存方式:-5°C以下保存,干燥,避光

产品规格:500mg/1g/5g/10g

用途:用于医学研究,药物释放,纳米技术和新材料研究。

西安齐岳生物科技有限公司供应定制合成磷脂、PEG磷脂、两亲嵌段共聚物,磁性纳米颗粒,纳米金,荧光量子点及树枝状聚合物、PEG衍生物等等产品。

厂商:西安齐岳生物科技有限公司

温馨提示:仅用于科学研究

相关产品:

AC-PEG-DBCO

丙烯酸酯聚乙二醇环氧

Acrylate-PEG-Epoxides

AC-PEG-Epoxides

丙烯酸酯聚乙二醇活性酯

Acrylate-PEG-NHS

丙烯酸酯聚乙二醇甲氨蝶呤

Acrylate-PEG-MTX

Acrylate-PEG-Methotrexate


Boc-NH-PEG4-ACA;叔丁氧羰基氨基-四聚乙二醇-丙烯酰胺;

公司简介

西安齐岳生物科技有限公司是国内一家生物科技公司,我公司生产销售科研级别的药物传递和药物纳米靶向方面的产品,公司目前经营的产品主要有合成磷脂,PEG衍生物,嵌段共聚物,纳米金,磁性纳米颗粒,介孔二氧化硅,活性荧光染料,荧光量子点,点击化学和大环配体等等

成立日期 (11年)
注册资本 伍拾万元人民币
员工人数 10-50人
年营业额 ¥ 100万以内
经营模式 试剂,定制,服务,试剂,定制,服务
主营行业 中间体,中间体,化学试剂,化学试剂

叔丁氧羰基氨基-四聚乙二醇-丙烯酰胺相关厂家报价

内容声明
拨打电话 立即询价