基本信息 产品详情 公司简介 推荐产品
网站主页 化工产品目录 原料药 人工合成抗感染类药 消毒防腐药 葡萄糖酸氯己定 葡萄糖酸氯己定
  • 葡萄糖酸氯己定现货供应

葡萄糖酸氯己定现货供应

Chlorhexidinedigluconate
18472-51-0
询价 1kg 起订
10kg 起订
25kg 起订
湖北 更新日期:2023-05-18

武汉柏锦生物科技有限公司

非会员
联系人:钱***
手机:181***
邮箱:270***

产品详情:

中文名称:
葡萄糖酸氯己定
英文名称:
Chlorhexidinedigluconate
CAS号:
18472-51-0
品牌:
柏锦生物
产地:
武汉
保存条件:
常温储存
纯度规格:
99%
产品类别:
柏锦生物

葡萄糖酸氯己定原料药


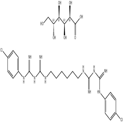
中文名称:葡萄糖酸氯己定


中文同义词:葡萄糖酸氯己定CHLORHEXIDINEGLUCONATE;葡萄糖酸氯己定(CAS号:18472-51-0);葡萄糖酸氯己定,20%水溶液;葡萄糖酸氯已定(20%);葡萄糖酸氯己定[18472-51-0];氯己定二葡糖酸盐溶液;氯己定二葡糖酸盐(20%于水中);葡萄糖酸氯已定20%溶液


英文名称:Chlorhexidinedigluconate


英文同义词:orhexidinedig;uconate;2-[amino-[6-[[amino-[[amino-(4-chloroanilino)methylidene]amino]methylidene]amino]hexylimino]methyl]-1-(4-chlorophenyl)guanidine;ChlorhexidineDigluconate(20%inWater);CHLORHEXIDINEGLUCONATE20%SOLUTION;CHLORHEXADINEGLUCONATE20%;CHLORHEXIDINEDIGLUCONATE20%AQUEOU;Chlorhexidinedigluconate,Non-sterile


CAS号:18472-51-0


分子式:C34H54Cl2N10O14


分子量:897.76


EINECS号:242-354-0


相关类别:医药化工类;香精香料;医药中间体;原料药;医药原料;原料;葡萄糖酸氯已定;抗病毒抗感染类;有机原料;消毒防腐类原料;消毒防腐;医药产品;单糖;抗菌消炎;其他;API;Broad-spectrumantimicrobial,bactericidaleffect;Disinfectant


Mol文件:18472-51-0.mol

 


葡萄糖酸氯己定性质


密度  1.06g/mLat25°C(lit.)


储存条件  2-8°C


溶解度  water:soluble50%(w/v)


形态  Liquid

颜色  Colorless

敏感性  LightSensitive


波长  (λmax)257nm(H2O)(lit.)


Merck  14,2091


InChIKey  YZIYKJHYYHPJIB-UUPCJSQJSA-N


CAS数据库  18472-51-0(CASDataBaseReference)


EPA化学物质信息  Chlorhexidinegluconate(18472-51-0)


葡萄糖酸氯己定用途与合成方法


适应症    溶液:用于咽峡炎和口腔溃疡等。软膏:用于轻度小面积烧伤、烫伤、外伤感染,也可用于湿疹、痤疮、足癣等。含漱液:用于口腔疾病(如牙龈炎、口腔溃疡、咽炎等)的防治。


药理作用及作用机制   氯己定为阳离子型表面活性防腐剂,具有广谱抗菌作用。其作用机制是改变细菌细胞膜的通透性。其为消毒防腐药。某些葡萄球菌、变异链球菌、唾液链球菌、白念珠菌、大肠埃希菌和厌氧丙酸菌对其高度敏感,嗜血链球菌中度敏感,变形杆菌属、假单胞菌属、克雷伯杆菌属和革兰阴性球菌(如韦永球菌属)低度敏感。其对革兰阳性和阴性菌的抗菌作用,比苯扎溴铵等消毒药强。本品在血清、血液等存在时仍有效。本品的作用机制为吸附于细菌胞浆膜的渗透屏障,使细胞内容物漏出而发挥抗菌作用。低浓度有抑菌作用,高浓度则有杀菌作用。


药代动力学    葡萄糖酸氯己定溶液带阳性电荷,口腔含漱时吸附于带阴性电荷的齿、斑块和口腔粘膜表面,随后吸附的药物从这些部位弥散,逐渐释出,胃肠道吸收很少,绝大部分随粪便排出。


用途   消毒防腐药,具有相当强的广谱抑菌、杀菌作用,对革兰氏阳性菌及革兰氏阴性菌均有效。外用手、皮肤消毒,冲洗创口。


类别   有毒物品


毒性分级   中毒


急性毒性   口服-大鼠LD50:2000毫克/公斤;口服-小鼠LD50:1260毫克/公斤


可燃性危险特性   热分解排出有毒氮氧化物,氯化物烟雾


储运特性   库房低温通风干燥


灭火剂   水,二氧化碳,泡沫,干粉


安全信息


危险品标志  N


危险类别码  50/53


安全说明   61


危险品运输编号   UN30829/PGIII


WGKGermany   -

RTECS号    DU1950000


TSCA   Yes


HazChemicalbookardClass   9


PackingGroup   III


海关编码   29252900


毒性    LD50inmice(mg/kg):22i.v.;1800orally(Foulkes)


 


Chlorhexidinedigluco;葡萄糖酸氯己定;18472-51-0;

公司简介

武汉柏锦生物位于武汉东湖新技术开发区,是经国家工商局备案的专业从事抗肿瘤小分子抑制剂、原料药(API)及相关医药中间体的研发,生产和销售的高新技术企业,拥有大批优秀的科研人才并配备了先进的生产设备和高效精密的检测仪器、组建了严格科学的质量管理体系,不断致力于技术创新、产品创新和管理创新,在国内、海外同行业中享有良好的声誉。同时,“以人为本”的服务宗旨得到了客户的广泛认可,让我们的客户买到高纯度优质的原料,享受到出厂的优势价格,帮助客户做大做强,再创辉煌!

成立日期 (7年)
注册资本 50万
员工人数 10-50人
年营业额 ¥ 100万以内
经营模式 贸易,工厂
主营行业 中间体,原料药

葡萄糖酸氯己定相关厂家报价 更多

内容声明
拨打电话 立即询价