基本信息 产品详情 公司简介 推荐产品
网站主页 化工产品目录 生物化工 核酸类 Tri-GalNAc(OAc)3 TFA CSN42370
  • CSN42370

CSN42370

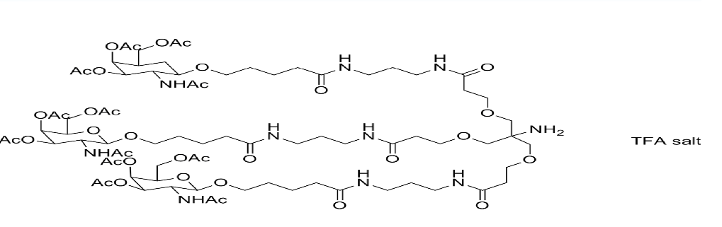
6-Amino-11,17-dioxo-6-[[3-o..
询价 1KG 起订
上海 更新日期:2026-03-31

上海厚博生物科技有限公司

VIP15年
联系人:zhaoyue
电话:+21-18501659228拨打
手机:18501659228 拨打
邮箱:info@hope-chem.com

产品详情:

中文名称:
CSN42370
英文名称:
6-Amino-11,17-dioxo-6-[[3-o..
CAS号:
1159408-65-7
纯度规格:
98%+HPLC
产品类别:
黄金产品

中文名称:CSN42370


英文名称:6-Amino-11,17-dioxo-6-[[3-oxo-3-[[3-[[1-oxo-5-[[3,4,6-tri-O-acetyl-2-(acetylamino)-2-deoxy-β-D-galactopyranosyl]oxy]pentyl]amino]propyl]amino]propoxy]methyl]-N-[3-[[1-oxo-5-[[3,4,6-tri-O-acetyl-2-(acetylamino)-2-deoxy-β-D-galactopyranosyl]oxy]pentyl]amino]propyl]-21-[[3,4,6-tri-O-acetyl-2-(acetylamino)-2-deoxy-β-D-galactopyranosyl]oxy]-4,8-dioxa-12,16-diazaheneicosanamide2,2,2-trifluoroacetate


CAS:1159408-65-7


其它信息:纯度:98%+HPLC | 包装信息:100mg,200mg, 1g,5g,10g;100g; 1kg;按需包装


备注: 优势产品,大货供应。



1159408-65-7;

公司简介

Founded by a group of veterans from the US biopharmaceutical industry in 2010, P&T is now a leading Shanghai-based CRO company providing drug discovery and development services worldwide

成立日期 (12年)
注册资本 200万人民币
员工人数 50-100人
年营业额 ¥ 5000万-1亿
经营模式 工厂,定制
主营行业 医药中间体,原料药

CSN42370相关厂家报价 更多

内容声明
拨打电话 立即询价