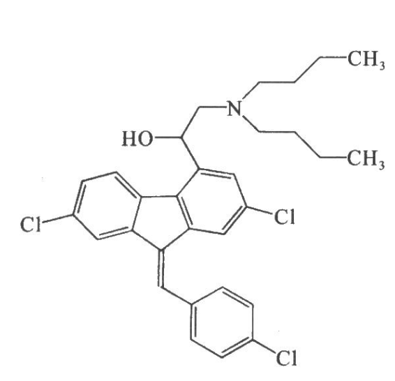
本芴醇
Benflumentol
询价
25kg
起订
陕西 更新日期:2025-09-17
产品详情:
- 中文名称:
- 本芴醇
- 英文名称:
- Benflumentol
- 纯度规格:
- 98%
- 产品类别:
- 原料药
公司简介
关于缔都
以创新与发展创造价值
缔都是一家以化学技术为导向的创新型企业,核心能力集中在医药保健和农业化学品新剂型研发生产领域。缔都为创新产品和解决方案研发新分子,以改善人类、动物和植物的健康。这些研发活动基于对生命体生化过程的深刻认识。借助产品,缔都将不断为找到应对当今时代一些重大挑战的解决方案做出贡献。日益增长且不断老龄化的世界人口要求更好的医疗保健和足够的绿色农作物食物供应。通过预防、缓解和治疗疾病,缔都不断改善人类的生活品质。缔都作为一家致力于用化学科技来改善人类健康,维护动物保健,和提高全球农作物产率和食品质量的科技创新性企业,期待着和全球伙伴一起为全球生态做出贡献!
| 成立日期 | (6年) |
| 注册资本 | 100万 |
| 员工人数 | 100-500人 |
| 年营业额 | ¥ 1亿以上 |
| 经营模式 | 工厂 |
| 主营行业 | 医药中间体,合成材料中间体,农药中间体,原料药,有机合成药 |
