多粘菌素 B3 五氟乙酸酯
Polymyxin B3 Pentatrifluoroacetate
询价
10mg
起订
25mg
起订
广东 更新日期:2025-05-13
产品详情:
- 中文名称:
- 多粘菌素 B3 五氟乙酸酯
- 英文名称:
- Polymyxin B3 Pentatrifluoroacetate
- 品牌:
- GP
- 纯度规格:
- 95+
- 产品类别:
- 多黏菌素B
- 级别:
- 医药级
- 别名:
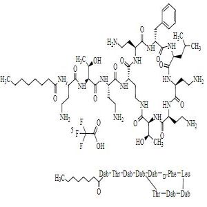
- 分子量 1189.47 5*114.02
- 分子式:
- C 55 H 96 N 16 O 13。5 C 2 HF 3 O 2
公司简介
优势供应阿莫西林克拉维酸钾杂质,头孢类杂质
| 成立日期 | (6年) |
| 注册资本 | 100万 |
| 员工人数 | 10-50人 |
| 年营业额 | ¥ 100万以内 |
| 经营模式 | 贸易,定制,服务 |
| 主营行业 | 化学试剂,医药中间体,青霉素类,大环内酯类,其他抗感染类 |
多粘菌素 B3 五氟乙酸酯相关厂家报价
-
- 多粘菌素B3
- 深圳振强生物技术有限公司 VIP
- 2026-04-16
- 询价
-
- 多粘菌素B3
- 北京艾普瑞特科技有限公司 VIP
- 2026-04-14
- 询价
-
- CATO_多粘菌素B3(XTFA盐)_71140-58-4(free base)_95%
- 广州佳途科技股份有限公司 VIP
- 2026-04-14
- 询价
