多粘菌素 B6 五氟乙酸酯(非对映体混合物)
Polymyxin B6 Pentatrifluoroacetate (Mixture of Diastereomers)
询价
10mg
起订
25mg
起订
广东 更新日期:2025-05-13
产品详情:
- 中文名称:
- 多粘菌素 B6 五氟乙酸酯(非对映体混合物)
- 英文名称:
- Polymyxin B6 Pentatrifluoroacetate (Mixture of Diastereomers)
- 品牌:
- GP
- 纯度规格:
- 95+
- 产品类别:
- 多黏菌素B
- 级别:
- 医药级
- 别名:
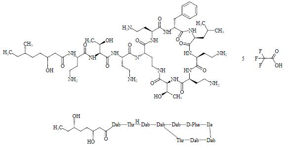
- 分子量 1219.50 5*114.02
- 分子式:
- C 56 H 98 N 16 O 14。5 C 2 HF 3 O 2
公司简介
优势供应阿莫西林克拉维酸钾杂质,头孢类杂质
| 成立日期 | (6年) |
| 注册资本 | 100万 |
| 员工人数 | 10-50人 |
| 年营业额 | ¥ 100万以内 |
| 经营模式 | 贸易,定制,服务 |
| 主营行业 | 化学试剂,医药中间体,青霉素类,大环内酯类,其他抗感染类 |
多粘菌素 B6 五氟乙酸酯(非对映体混合物)相关厂家报价
-
- CATO_去氟氟比洛芬酯(非对映体混合物)_1685278-08-3_95%
- 广州佳途科技股份有限公司 VIP
- 2026-04-14
- 询价
-
- 654655-80-8,贝达喹啉(非对映体混合物)
- 上海法默生物科技有限公司 VIP
- 2026-04-14
- 询价
-
- 林可霉素EP杂质B(非对映体混合物)
- 深圳菲斯生物科技有限公司 VIP
- 2026-04-16
- 询价
