基本信息 产品详情 公司简介 推荐产品
网站主页 化工产品目录 有机原料 醇、酚、酚醇类化合物及衍生物 2-甲基-6-亚甲基-7-辛烯-4-醇 2-甲基-6-亚甲基-7-辛烯-4-醇
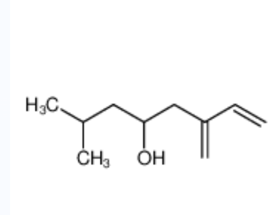
  • 2-甲基-6-亚甲基-7-辛烯-4-醇

2-甲基-6-亚甲基-7-辛烯-4-醇

2-methyl-6-methyleneoct-7-en-4-ol
14314-21-7
询价 25kg 起订
陕西 更新日期:2026-03-30

陕西缔都化学有限公司

VIP4年
联系人:党经理
电话:029-029-81123119拨打
手机:17391733320 拨打
邮箱:1021@dideu.com

产品详情:

中文名称:
2-甲基-6-亚甲基-7-辛烯-4-醇
英文名称:
2-methyl-6-methyleneoct-7-en-4-ol
CAS号:
14314-21-7
品牌:
缔都
产地:
陕西
纯度规格:
98
产品类别:
中间体
级别:
医药级
别名:
2-methyl-6-methylene-7-octen-4-ol;
分子式:
C10H18O
中文名称(+/-)-ipsenol英文名称(+/-)-ipsenol
中文别名
英文别名

2-METHYL-6-METHYLIDENEOCT-7-EN-4-OL;(+/-) ipsenol;2-methyl-6-methyleneoct-7-en-4-ol;ipsenol;2-methyl-6-methylene-7-octen-4-ol;

查看更多英文别名
CAS号14314-21-7分子式C10H18O
分子量154.24900精确质量154.13600
PSA20.23000LOGP2.52570


14314-21-7;2-甲基-6-亚甲基-7-辛烯-4-醇;2-methyl-6-methylene;2-methyl-6-methylene;

公司简介

我公司是专业研发生产精细化学品的厂家,公司专注于精细化学品的研发和生产,我公司所生产的医药原料,医药中间体,液晶材料中间体和农化中间体.

成立日期 (2年)
注册资本 1000万
员工人数 100-500人
年营业额 ¥ 1亿以上
经营模式 工厂
主营行业 中间体,医药原料,合成材料中间体,农药中间体,其他中间体

2-甲基-6-亚甲基-7-辛烯-4-醇相关厂家报价

内容声明
拨打电话 立即询价