基本信息 产品详情 公司简介 推荐产品
网站主页 NH2-MPAA-NODA NH2-MPAA-NODA
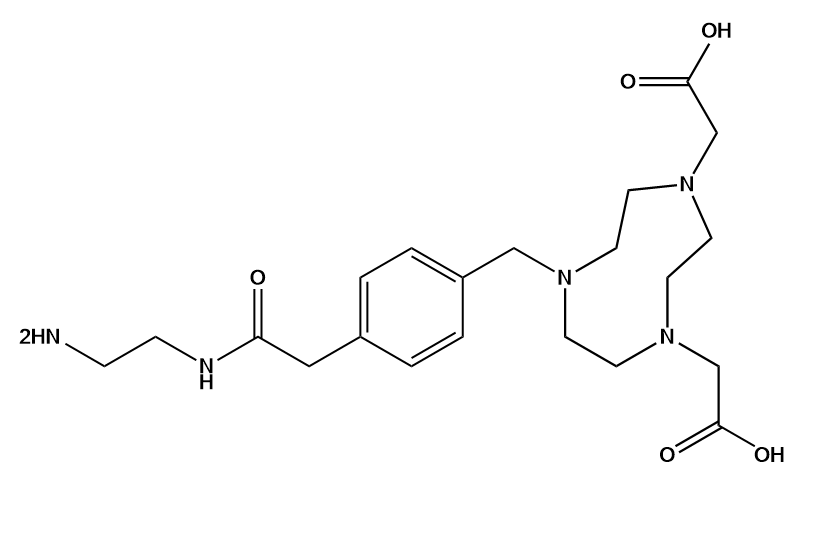
  • NH2-MPAA-NODA

NH2-MPAA-NODA

NH2-MPAA-NODA
询价 5mg 起订
10mg 起订
50mg 起订
江西 更新日期:2026-03-25

南昌探真生物技术有限公司

VIP6年
联系人:张经理
电话:13758194781拨打
手机:13173652190 拨打
邮箱:522013271@qq.com

产品详情:

中文名称:
NH2-MPAA-NODA
英文名称:
NH2-MPAA-NODA
品牌:
TanzhenBio
产地:
江西
保存条件:
4℃
纯度规格:
98%
产品类别:
金属螯合剂
货号:
CH060
是否进口:

NOTA-bis(t-Bu ester)

NO2A-Butyne

NO2A-Azide

NODA-GA-tris(t-Bu ester)

NOTA

NOTA-NHS ester

Maleimide-NOTA

NODA-GA-NHS ester

NO2A-Butyne-bis (t-Butyl ester)

Propargyl-NOTA(tBu)2

(R)-NODA-GA(tBu)3

p-NCS-benzyl-NODA-GA

Maleimide-NODA-GA

NCS-MP-NODA

Maleimide-NOTA

NH2-NODA-GA

DiBoc-TACN

NO2A(tBu)

TA-DOTA-GA

p-NCS-Bz-DOTA-GA

Maleimide-DOTA-GA

NH2-DOTA-GA

1,4,7,10-Tetraazacyclododecane-1,4,7,10-tetraacetic acid, Mono(4-nitrophenyl) ester

Maleimide-DOTA

Propargyl-DOTA-tris(tBu)ester

DOTAM-mono-acid

DOTA-tris (t-Bu ester)

DOTAGA-tetra (t-Bu ester)

DOTAGA-tetra (t-Bu ester)

DOTA-mono-NHS tris (t-Bu ester)

Maleimido-mono-amide-DOTA-tris (t-Bu ester)

Maleimido-mono-amide-DOTA

Fmoc-L-Lys-mono-amide-DOTA-tris(t-Bu ester)

Butyne-DOTA-tris(t-butyl ester)

2-Aminoethyl-mono-amide-DOTA-tris(t-Bu ester)

Azido-mono-amide-DOTA-tris(t-Bu ester)

4-Aminobutyl-DOTA-tris (t-butyl ester)

DO3A-Thiol

Butyne-DOTA

Azido-mono-amide-DOTA

4-Aminobutyl-DOTA

2-Aminoethyl-mono-amide-DOTA-tris(tBu ester)

p-SCN-Bn-NOTA

p-SCN-Bn-DOTA

2-((4-Aminophenyl)methyl)nota tetrahydrochloride

DOTA-NHS ester

DO3A-tBu-ester

HBED-CC-tristert-butyl ester

DTPA-tetra(tBu)ester

Maleimide-DTPA

4-Formyl-N,N,N-trimethylanilinium triflate

Succinimidyl-Hynic hydrochloride

"N,N,N-trimethyl-4-(((2,3,4,5,6-pentamethylbenzyl)oxy)

carbonyl)benzenaminium"

EDTA

DTPA-TETRA T-BUTYL ESTER

DOTA-GA anhydride

TRAP

tri-tert-butyl 2,2',2''-(10-(2-ethoxy-2-oxoethyl)-1,4,7,10-tetraazacyclododecane-1,4,7-triyl)triacetate

NOTA-BP

NH2-MPAA-NODA

Methyltetrazine-NODA-GA

Maleimide-NODA-GA

BCN-NODA-GA

p-NCS-benzyl-NODA-GA

NH2-NODA-GA

DOTA-glycyl-glycyl-glycyl-(4-nitrophenyl)alanine amide

Succinimidyl-N-Boc-Hynic

Boc-Hynic

DOTA-TOC


NH2-MPAA-NODA;

公司简介

南昌探真生物技术有限公司 主要业务:多肽服务 ,肽核酸合成

成立日期 (8年)
注册资本 300万人民币
员工人数 10-50人
年营业额 ¥ 100万-300万
经营模式 贸易,工厂,试剂,定制,服务
主营行业 生物活性小分子,有机合成试剂,氨基糖苷类

NH2-MPAA-NODA相关厂家报价

  • NH2-NODA-GA
  • NH2-NODA-GA
  • 西安凯新生物科技有限公司 VIP
  • 2025-09-08
  • 询价
  • mPEG3-NH2
  • mPEG3-NH2
  • 上海研纷生化科技有限公司 VIP
  • 2026-04-02
  • 询价
内容声明
拨打电话 立即询价