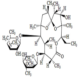
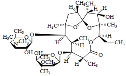
23893-13-2
23893-13-2
询价
25mg
起订
广东 更新日期:2025-05-13
产品详情:
公司简介
优势供应阿莫西林克拉维酸钾杂质,头孢类杂质
| 成立日期 | (6年) |
| 注册资本 | 100万 |
| 员工人数 | 10-50人 |
| 年营业额 | ¥ 100万以内 |
| 经营模式 | 贸易,定制,服务 |
| 主营行业 | 化学试剂,医药中间体,青霉素类,大环内酯类,其他抗感染类 |
