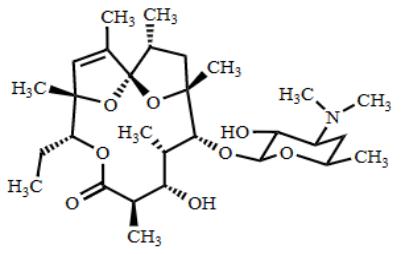
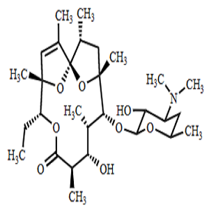
红霉素EP杂质I
546-57-6
询价
25mg
起订
广东 更新日期:2025-05-13
产品详情:
公司简介
优势供应阿莫西林克拉维酸钾杂质,头孢类杂质
| 成立日期 | (6年) |
| 注册资本 | 100万 |
| 员工人数 | 10-50人 |
| 年营业额 | ¥ 100万以内 |
| 经营模式 | 贸易,定制,服务 |
| 主营行业 | 化学试剂,医药中间体,青霉素类,大环内酯类,其他抗感染类 |
红霉素EP杂质I相关厂家报价
-
- 红霉素EP杂质I
- 深圳振强生物技术有限公司 VIP
- 2026-04-10
- 询价
-
- CATO_红霉素EP杂质I(红霉糖胺)_546-57-6_95%
- 广州佳途科技股份有限公司 VIP
- 2026-03-30
- 询价
-
- 红霉素杂质I
- 北京艾普瑞特科技有限公司 VIP
- 2026-03-17
- 询价
-
- 红霉素杂质08
- 北京康派森医药科技有限公司 VIP
- 2026-01-16
- 询价
-
- 红霉素杂质I
- 海南爱丽斯生物科技有限公司 VIP
- 2025-11-12
- 询价
