基本信息 产品详情 公司简介 推荐产品
网站主页 (SER25)-PROTEIN KINASE C (19-31) [Ser25]-蛋白激酶 C (PKC)底物多肽
  • [Ser25]-蛋白激酶 C (PKC)底物多肽/136795-05-6/[Ser25]-PKC (19-31)

[Ser25]-蛋白激酶 C (PKC)底物多肽/136795-05-6/[Ser25]-PKC (19-31)

[Ser25]-PKC (19-31)
136795-05-6
询价 1mg 起订
10mg 起订
1000mg 起订
上海 更新日期:2025-06-17

上海鸿肽生物科技有限公司

非会员
联系人:顾***
电话:153***
邮箱:ale***

产品详情:

中文名称:
[Ser25]-蛋白激酶 C (PKC)底物多肽
英文名称:
[Ser25]-PKC (19-31)
CAS号:
136795-05-6
品牌:
上海鸿肽生物
产地:
上海
保存条件:
-20℃密封
纯度规格:
98%HPLC
产品类别:
目录肽
货号:
218P333
用途范围:
仅供科研使用
规格:
1mg,10mg,100mg,1000mg,按照您的需求任意包装
是否进口:

Product Name[Ser25]-PKC (19-31)

CAS No.136795-05-6

Synonyms[Ser25]-蛋白激酶 C (PKC)底物多肽

Catalog No.218P333

BrandHongTide(上海鸿肽生物)

Description[Ser25] Protein Kinase C (19-31) 是蛋白激酶 C (PKC) 的底物多肽,序列中含有13个氨基酸,其Km0.3 μM[Ser25] Protein Kinase C (19-31)源自PKCα(19-31)的假底物 (pseudo-substrate) 调控结构域,其 25 位的野生型丙氨酸被丝氨酸所取代。

[Ser25] Protein Kinase C (19-31) is a substrate peptide of Protein kinase C (PKC). The sequence contains 13 amino acids, with a Km of 0.3 μ M. [Ser25] Protein Kinase C (19-31) derived from PKC α The pseudo substrate regulatory domain of (19-31), where the wild type alanine at position 25 is replaced by serine.

Purity (HPLC) ≥98.0%

Single impurity≤2%

Peptide content≥75.0%

Amino Acid Composition≤±15%

Bacterial Endotoxins≤50EU/mg

SolubilityH2O/DMSO

Vacuum-packed with aluminum foil bag or transparent bag.Various weights can be packed according to your requirements.

Storage:Cool dry place( Store at -20°C, away from the light)

Remark:For Research Use Only. Not for human use.

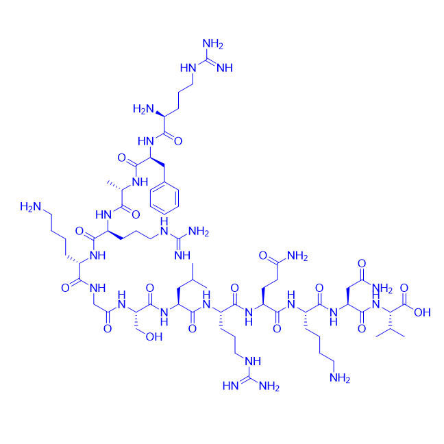
Sequence(1-letter code)

RFARKGSLRQKNV

Sequence(3-letter code)

H-Arg-Phe-Ala-Arg-Lys-Gly-Ser-Leu-Arg-Gln-Lys-Asn-Val-OH

Peptide Structure

[Ser25]-PKC (19-31) 136795-05-6.png

Molecular Formula

C67H118N26O17

Molecular Weight

1559.85

 

订购联系方式:

 

上海鸿肽生物科技有限公司

 

手机: +86-18018095145 (同微信号)

 

QQ: 3259098395

 

邮箱:sales1@hongtide.com

 


136795-05-6;[Ser25]-PKC (19-31) ;[Ser25]-蛋白激酶 C (PKC);多肽;多肽合成;

公司简介

上海鸿肽生物科技有限公司(简称:鸿肽生物)是一家以多肽以及多肽上下游产品研发、生产、销售以及技术转让为主要业 务科技公司。公司现有产品涵盖:定制多肽、目录多肽、氨基酸衍生物、小分子化合物;公司自成立以来,秉持“用质量作船, 以服务为帆,为科研服务”的企业理念,为国内外众多科研工作者提供了优质的服务及产品。

成立日期 (5年)
注册资本 200万人民币
员工人数 10-50人
年营业额 ¥ 500万-1000万
经营模式 工厂,定制,服务
主营行业 生化试剂,蛋白组学,分子生物学,细胞生物学,诊断试剂

[Ser25]-蛋白激酶 C (PKC)底物多肽相关厂家报价

  • 136795-05-6
  • 136795-05-6
  • 成都彼样生物科技有限公司 VIP
  • 2026-04-10
  • 询价
内容声明
拨打电话 立即询价