基本信息 产品详情 公司简介 推荐产品
网站主页 FMOC-SER(ME,AC4NEU5ACΑ2-6AC2GALNACΑ)-OH Fmoc-Ser(Me,Ac4Neu5Acα2-6Ac2GalNAcα)-OH
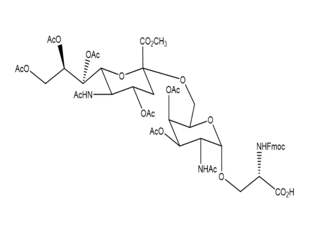
  • Fmoc-Ser(Me,Ac4Neu5Acα2-6Ac2GalNAcα)-OH

Fmoc-Ser(Me,Ac4Neu5Acα2-6Ac2GalNAcα)-OH

Fmoc-Ser(Me,Ac4Neu5Acα2-6Ac2GalNAcα)-OH
询价 100mg 起订
广东 更新日期:2026-02-05

广州麦克斯药物研究有限公司

VIP3年
联系人:麦克斯药物
手机:15814890520 拨打
邮箱:sale@gzmaxscience.com

产品详情:

中文名称:
Fmoc-Ser(Me,Ac4Neu5Acα2-6Ac2GalNAcα)-OH
英文名称:
Fmoc-Ser(Me,Ac4Neu5Acα2-6Ac2GalNAcα)-OH
CAS号:
914456-67-0
产地:
广州
纯度规格:
≥95%
产品类别:
糖基氨基酸
级别:
工业级
货号:
GM-020008
分子量:
1088.04

糖化学产品只供科学研究中使用,不能作为食品和药物等其他用途。包括葡萄糖、半乳糖、唾液酸、核糖、阿拉伯糖等各种糖化学合成结构单元,糖苷化反应的供体,糖苷化反应的受体,糖基氨基酸,酶反应底物,小核苷酸GalNAc结构单元 ,核苷酸类化合物等,可以利用在药物和化学研究中、以及在糖化学和多肽合成中作为原料、中间体及或产物。


产品名称:STnSerOH

产品编号:GM-020008

英文名:Fmoc-L-Ser[a-(Neu5Ac-a(2-6)-GalNAc)]-OH peracetate

CAS号:914456-67-0

分子量:1088.04

纯度:≧95%

价格:请联系我们询价


糖基氨基酸;Glycoamino Acids;

公司简介

广州麦克斯药物研究有限公司是一家专业从事化学技术开发、技术咨询、技术转让、技术服务;医药技术开发、技术转让、技术咨询;医药中间体、化工产品(不含危险化学品)的销售;自营和代理各类商品及技术的进出口业务的企业。

成立日期 (4年)
注册资本 200万人民币
员工人数 1-10人
年营业额 ¥ 100万以内
经营模式 贸易,试剂,定制,服务
主营行业 医药中间体,其他中间体,同位素试剂

Fmoc-Ser(Me,Ac4Neu5Acα2-6Ac2GalNAcα)-OH相关厂家报价

内容声明
拨打电话 立即询价