基本信息 产品详情 公司简介 推荐产品
网站主页 化工产品目录 化学农药原药 除草剂 芬吡唑酮 苯唑氟草酮
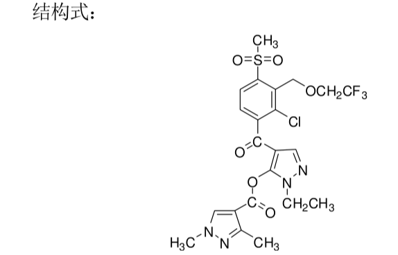
  • 苯唑氟草酮1992017-55-6

苯唑氟草酮1992017-55-6

32000 100mg 起订
询价 100mg 起订
询价 1000mg 起订
江苏 更新日期:2024-02-23

江苏智芯廷科技有限公司

非会员
联系人:郑***
手机:182***
邮箱:120***

产品详情:

中文名称:
苯唑氟草酮
CAS号:
1992017-55-6
纯度规格:
96%
产品类别:
有机

我司专业生产各类农药,新型含氟除草剂苯唑氟草酮具有内吸传导作用,杀草活性高,苗后茎叶处理,防除玉米田阔叶杂草及禾本科杂草。得益于其含氟的化学结构,苯唑氟草酮除草更快更彻底,不易返青;对玉米安全,并具有良好的后茬作物安全性。

苯唑氟草酮;含氟农药;

公司简介

检测、化学试剂

成立日期 (4年)
注册资本 1000万元整
员工人数 1-10人
年营业额 ¥ 100万以内
经营模式 贸易,试剂,定制
主营行业 中间体,化学试剂

苯唑氟草酮相关厂家报价 更多

内容声明
拨打电话 立即询价