aladdin 阿拉丁 P485975 聚(二甲基硅氧烷-co-甲基苯基硅氧烷) 63148-52-7 粘度125 cSt
Silicone oil AP 150 Wacker
63148-52-7
63148-52-7
¥2409.90
2.5kg
起订
¥7738.90
10kg
起订
上海 更新日期:2025-05-16
产品详情:
- 中文名称:
- 硅油 AP 150 Wacker
- 英文名称:
- Silicone oil AP 150 Wacker
- CAS号:
- 63148-52-7
- 品牌:
- 阿拉丁
- 产地:
- 上海
- 保存条件:
- 室温
- 纯度规格:
- viscosity ~150 mPa.s, neat(25 °C)
- 产品类别:
- 材料科学 电子材料
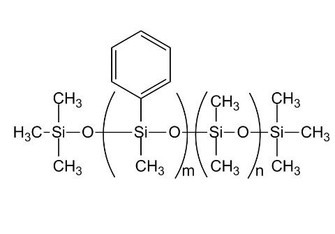
- 分子式:
- [Si(CH3)2O]x[Si(CH3)(C6H5)O]y
- 运输条件:
- 常规运输
- 产品规格:
- 10kg、2.5kg
- 货号:
- S343613
- 是否进口:
- 否
公司简介
上海阿拉丁生化科技股份有限公司是A股上市公司((股票代码:688179),专注于科研试剂的研发、生产和销售,已陆续建立多个工厂和研发中心。作为领军企业,阿拉丁始终坚持质量第一,连续13年被评为“最受欢迎试剂品牌”。
阿拉丁目前常备库存试剂产品品种超过7万种,SKU总数超过46万,产品线涵盖了化学试剂、生化试剂、药靶配体、蛋白质和抗体等多个领域,是国内少数化学试剂到生物试剂全面发展的国产试剂品牌,产品同步发布在我们国内外电商平台。
| 成立日期 | (18年) |
| 注册资本 | 14130.676万人民币 |
| 员工人数 | 500人以上 |
| 年营业额 | ¥ 1亿以上 |
| 经营模式 | 工厂,试剂 |
| 主营行业 | 生物化工,化学试剂 |
硅油 AP 150 Wacker相关厂家报价
-
- 聚(甲基苯基硅氧-二甲基硅氧)烷 有机合成中间体 按需分装
- 中山市迪欣化工有限公司 VIP
- 2026-04-07
- 询价
-
- 聚苯基甲基硅氧烷 有机合成润滑剂 63148-52-7
- 湖北兴琰新材料科技有限公司 VIP
- 2026-03-27
- 询价
-
- 聚(甲基苯基硅氧-二甲基硅氧)烷
- 陕西缔都医药化工有限公司 VIP
- 2026-03-23
- 询价


