基本信息 产品详情 公司简介 推荐产品
网站主页 Cy3 Amidite Cy3 单体
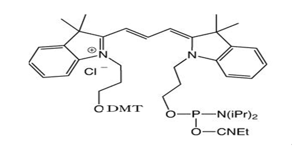
  • Cy3 Amidite

Cy3 Amidite

Cy3 Amidite
询价 100mg 起订
250mg 起订
山东 更新日期:2024-01-30

青岛聚点儿科技有限公司

非会员
联系人:姜***
手机:159***
邮箱:jia***

产品详情:

中文名称:
Cy3 单体
英文名称:
Cy3 Amidite
产地:
山东青岛
纯度规格:
95% HPLC
产品类别:
荧光染料

Formula: C59H72N4O5PCl
M.W.: 983.64 

F.W.: 507.59

Storage: Freezer storage, -10 to -30℃, dry

Stability in Solution: 2-3 days



Cy3单体;

公司简介

青岛聚点儿科技有限公司位于山东省青岛市高新产业技术开发区蓝色生物医药产业园区内,实验室占地面积2500㎡,主要从事DNA/RNA合成相关配套试剂及耗材,系列核苷酸修饰物及核苷亚磷酰胺单体的研发、生产。

成立日期 (6年)
注册资本 500万人民币
员工人数 50-100人
年营业额 ¥ 500万-1000万
经营模式 贸易,定制,服务
主营行业 合成材料中间体,核苷,核苷酸,寡核苷酸,染料,含氮类有机物,泵阀设备

Cy3 单体相关厂家报价

内容声明
拨打电话 立即询价