基本信息 产品详情 公司简介 推荐产品
网站主页 TAMRA-DT CE-PHOSPHORAMIDITE TAMRA-dT CE-Phosphoramidite
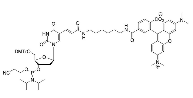
  • TAMRA-dT CE-Phosphoramidite

TAMRA-dT CE-Phosphoramidite 新品

TAMRA-dT CE-Phosphoramidite
询价 100mg 起订
500mg 起订
1000mg 起订
上海 更新日期:2025-08-05

上海科泽永欣生物科技有限公司

VIP3年
联系人:
电话:18017817217拨打
手机:13770021960 拨打
邮箱:zhangkun@kezxbio.com

产品详情:

中文名称:
TAMRA-dT CE-Phosphoramidite
英文名称:
TAMRA-dT CE-Phosphoramidite
纯度规格:
99%
产品类别:
FLUOROPHORES

TAMRA-dT CE-Phosphoramidite

Phosphoramidite used for interally labelling an oligonucleotide with the TAMRA (rhodamine) dye.

Used to add a broad range green-blue quencher internally or to the 5' end of an oligonucleotide.

Will quench FAM, HEX, TET and JOE; perfect for dual-labelled probes and probe-based assays.

Also has fluorophore properties, emission maximal at 580 nm.

Has DMT functionality.


TAMRA-dT ;

公司简介

上海科泽永欣生物科技有限公司,是一家围绕核苷单体&亚磷酰胺,递送系统LNP、Galnac等,核苷酸、Clean Cap、带荧光标记的CY3TP、CY5TP衍生物等mRNA原辅料,以及含氟化合物、氨基酸多肽化合物、硼酸化合物、胆固醇化合物、杂环化合物的CRO&CDMO订制合成等围绕生物化学业务的高科技公司。

成立日期 (4年)
注册资本 230万人民币
员工人数 10-50人
年营业额 ¥ 1000万-5000万
经营模式 工厂,定制
主营行业 医药中间体,合成材料中间体,其他中间体

TAMRA-dT CE-Phosphoramidite相关厂家报价

内容声明
拨打电话 立即询价