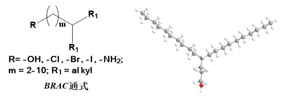
4-癸基十四醇 123613-13-8 合成中间体辅料
4-Decyl-1-tetradecanol
123613-13-8
123613-13-8
询价
10g
起订
50g
起订
100g
起订
江西 更新日期:2026-04-15
产品详情:
- 中文名称:
- 4-癸基十四醇
- 英文名称:
- 4-Decyl-1-tetradecanol
- CAS号:
- 123613-13-8
- 产地:
- 江西,九江
- 保存条件:
- 避光保存
- 纯度规格:
- GC纯度:95%
- 产品类别:
- BRAC系列
- 级别:
- 医药级
- 货号:
- BRAC-2
- 别名:
- 4-癸基十四醇
- 分子式:
- C24H50O
- 用途:
- 有机合成中间体和医药中间体
- 规格:
- 10g、50g、100g
- 分子量:
- 354.65
公司简介
我公司以先进的化学合成技术研发为根本,自主生产取代支链烷烃类,噻吩类等光电合成材料,提供精细化工产品开发咨询服务。同时代理国内外各类化学试剂。
| 成立日期 | (13年) |
| 注册资本 | 壹仟叁佰伍拾万元整 |
| 员工人数 | 50-100人 |
| 年营业额 | ¥ 5000万-1亿 |
| 经营模式 | 工厂,试剂,定制 |
| 主营行业 | 中间体,化学试剂 |
4-癸基十四醇相关厂家报价 更多
-
- 癸基十四醇
- 特斯科化工(湖北)有限公司 VIP
- 2026-04-01
- 询价
-
- 癸基十四醇
- 河南威梯希化工科技有限公司 VIP
- 2026-02-24
- 询价
-
- 癸基十四醇 58670-89-6 2-癸基-1-十四醇
- 湖北朗博万生物医药有限公司 VIP
- 2026-04-09
- ¥200
-
- 4-癸基十四醇 123613-13-8
- 陕西西化化学工业有限公司 VIP
- 2025-09-02
- 询价




