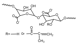
aladdin 阿拉丁 M293247 甲基丙烯酰化海藻酸钠(AlgMA) MA化程度20%-30%,分子量50-100KDa
Methacrylated Alginate
¥5149.90
1g
起订
¥20599.90
5g
起订
¥1599.00
250g
起订
上海 更新日期:2025-05-16
产品详情:
- 中文名称:
- 甲基丙烯酰化海藻酸钠(AlgMA)
- 英文名称:
- Methacrylated Alginate
- 品牌:
- 阿拉丁
- 产地:
- 上海
- 保存条件:
- 避光,-20°C储存
- 纯度规格:
- MA化程度20%-30%,分子量50-100KDa
- 产品类别:
- 材料科学 生物医学材料
- 运输条件:
- 超低温冰袋运输
- 产品规格:
- 1g、5g、250g
- 货号:
- M293247
- 是否进口:
- 否
公司简介
上海阿拉丁生化科技股份有限公司是A股上市公司((股票代码:688179),专注于科研试剂的研发、生产和销售,已陆续建立多个工厂和研发中心。作为领军企业,阿拉丁始终坚持质量第一,连续13年被评为“最受欢迎试剂品牌”。
阿拉丁目前常备库存试剂产品品种超过7万种,SKU总数超过46万,产品线涵盖了化学试剂、生化试剂、药靶配体、蛋白质和抗体等多个领域,是国内少数化学试剂到生物试剂全面发展的国产试剂品牌,产品同步发布在我们国内外电商平台。
| 成立日期 | (18年) |
| 注册资本 | 14130.676万人民币 |
| 员工人数 | 500人以上 |
| 年营业额 | ¥ 1亿以上 |
| 经营模式 | 工厂,试剂 |
| 主营行业 | 生物化工,化学试剂 |
甲基丙烯酰化海藻酸钠(AlgMA)相关厂家报价
-
- 甲基丙烯酰化海藻酸钠,分子量50(Functionalized Alginate系列产品)
- 上海赛可锐生物科技有限公司 VIP
- 2026-04-15
- 询价
-
- 海藻酸钠 分析纯海藻酸钠 试剂级海藻酸钠
- 廊坊乾耀科技有限公司 VIP
- 2026-04-15
- 询价
-
- Alginate-NH2,氨基化海藻酸钠
- 西安瑞禧生物科技有限公司 VIP
- 2026-02-28
- 询价







