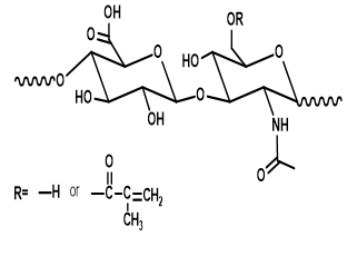
aladdin 阿拉丁 M301771 甲基丙烯酰化透明质酸 400K,MA化程度20%-30%
Methacrylated Hyaluronic acid(HAMA)
¥1133.90
100mg
起订
¥2059.90
250mg
起订
上海 更新日期:2025-05-16
产品详情:
- 中文名称:
- 甲基丙烯酰化透明质酸
- 英文名称:
- Methacrylated Hyaluronic acid(HAMA)
- 品牌:
- 阿拉丁
- 产地:
- 上海
- 保存条件:
- 避光,-20°C储存
- 纯度规格:
- 400K,MA化程度20%-30%
- 产品类别:
- 材料科学 生物医学材料
- 运输条件:
- 超低温冰袋运输
- 产品规格:
- 100mg、250mg
- 货号:
- M301771
- 是否进口:
- 否
公司简介
上海阿拉丁生化科技股份有限公司是A股上市公司((股票代码:688179),专注于科研试剂的研发、生产和销售,已陆续建立多个工厂和研发中心。作为领军企业,阿拉丁始终坚持质量第一,连续13年被评为“最受欢迎试剂品牌”。
阿拉丁目前常备库存试剂产品品种超过7万种,SKU总数超过46万,产品线涵盖了化学试剂、生化试剂、药靶配体、蛋白质和抗体等多个领域,是国内少数化学试剂到生物试剂全面发展的国产试剂品牌,产品同步发布在我们国内外电商平台。
| 成立日期 | (18年) |
| 注册资本 | 14130.676万人民币 |
| 员工人数 | 500人以上 |
| 年营业额 | ¥ 1亿以上 |
| 经营模式 | 工厂,试剂 |
| 主营行业 | 生物化工,化学试剂 |
甲基丙烯酰化透明质酸相关厂家报价
-
- 乙酰化透明质酸钠
- 成都格纯生物医药有限公司 VIP
- 2026-04-03
- 询价
-
- RB-HA-MA 罗丹明B-透明质酸-甲基丙烯酸酯
- 广州市碳水生物科技有限公司 VIP
- 2026-04-15
- 询价
-
- 乙酰化透明质酸钠
- 陕西西化化学工业有限公司 VIP
- 2026-03-30
- 询价







