网站主页
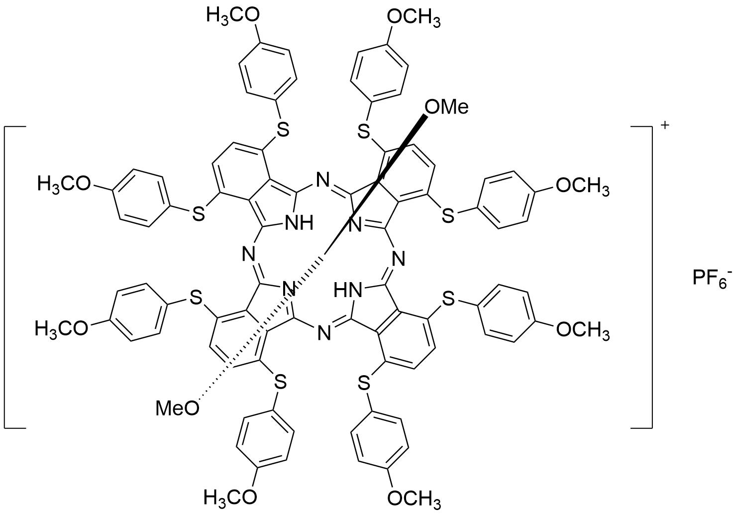
1,4,8,11,15,18,22,25-八(对甲氧苯硫醚基)-29H,31H-酞菁
1,4,8,11,15,18,22,25-八(对甲氧苯硫醚基)-29H,31H-酞菁
1,4,8,11,15,18,22,25-八(对甲氧苯硫醚基)-29H,31H-酞菁
询价
100mg
起订
500mg
起订
江苏 更新日期:2026-03-31
产品详情:
- 中文名称:
- 1,4,8,11,15,18,22,25-八(对甲氧苯硫醚基)-29H,31H-酞菁
- 品牌:
- 卓欣雅
- 产品类别:
- 酞菁染料
- 货号:
- TJ0072
公司简介
专业荧光染料供应商
| 成立日期 | (5年) |
| 注册资本 | 200万人民币 |
| 员工人数 | 1-10人 |
| 年营业额 | ¥ 100万以内 |
| 经营模式 | 贸易,试剂,定制,服务 |
| 主营行业 | 中间体,化学试剂 |
1,4,8,11,15,18,22,25-八(对甲氧苯硫醚基)-29H,31H-酞菁相关厂家报价
-
- 1,4,8,11,15,18,22,25-八丁氧基-29H,31H-酞菁
- 湖北丽都新材料科技有限公司 VIP
- 2026-04-01
- 询价
-
- [29H,31H-酞菁基(2-)-N29,N30,N31,N32]钴(II)
- 浙江百可半导体材料有限公司 VIP
- 2026-03-16
- 询价
-
- 11060-87-0 二[29H,31H-酞菁根]-氢铒酸
- 陕西缔都新材料有限公司 VIP
- 2025-09-17
- 询价
