基本信息 产品详情 公司简介 推荐产品
网站主页 NADA N-Arachidonoyldopamine
  • N-Arachidonoyldopamine

N-Arachidonoyldopamine

N-Arachidonoyldopamine
199875-69-9
询价 1MG 起订
10MG 起订
100MG 起订
广东 更新日期:2026-03-20

深圳市祥根生物医药有限公司

VIP10年
联系人:吴经理
电话:0755-28967200拨打
手机:13631290199 拨打
邮箱:wxf@sungening.com

产品详情:

中文名称:
N-Arachidonoyldopamine
英文名称:
N-Arachidonoyldopamine
CAS号:
199875-69-9
品牌:
AOCS
纯度规格:
99% HPLC or More
产品类别:
标准品
货号:
W0284.36
产品规格:
10mg,25mg,50mg,100mg
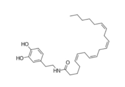
Canonical SMILES
O=C(NCCC1=CC=C(O)C(O)=C1)CCCC=CCC=CCC=CCC=CCCCCC
Isomeric SMILES
C(CNC(CCC/C=C\C/C=C\C/C=C\C/C=C\CCCCC)=O)C1=CC(O)=C(O)C=C1
InChI
InChI=1S/C28H41NO3/c1-2-3-4-5-6-7-8-9-10-11-12-13-14-15-16-17-18-19-28(32)29-23-22-25-20-21-26(30)27(31)24-25/h6-7,9-10,12-13,15-16,20-21,24,30-31H,2-5,8,11,14,17-19,22-23H2,1H3,(H,29,32)/b7-6-,10-9-,13-12-,16-15-
InChI Key
MVVPIAAVGAWJNQ-DOFZRALJSA-N


医药对照品;

公司简介

祥根生物医药于2008年12月成立,是一家集药物研发、生产、销售的创新型医药高科技企业,荣获“国家高新技术企业”和“博士后实践创新基地”等称号。祥根生物医药拥有药物成分标准物质、关键中间体、原料药与药品进出口全产业链平台。祥根是众多全球知名标准品(Aozeal/USP/EP/LGC/Bachem/TLC/TRC/SynZeal/意大利试剂等)和原料药(INKE/Bachem/瑞迪/意迪那等)总代理和授权代理商,处于行业领先水平。 祥根生物医药拥有一个尊重人才、重视绩效、持续创新的平台。 研发团队由多名海外高层次人才领衔,研发人员50余人;获得相关发明专利30余项。祥根生物医药的企业责任是:回报员工、回报合作伙伴、回报社会;企业愿景是:提升药品质量,保护人类健康。

成立日期 (8年)
注册资本 2000万人民币
员工人数 1-10人
年营业额 ¥ 100万以内
经营模式 贸易,工厂,试剂,定制,服务
主营行业 标准品和对照品,医药中间体,原料药

N-Arachidonoyldopamine相关厂家报价

内容声明
拨打电话 立即询价