基本信息 产品详情 公司简介 推荐产品
网站主页 癸酰辅酶A 癸酰辅酶A(钠盐)
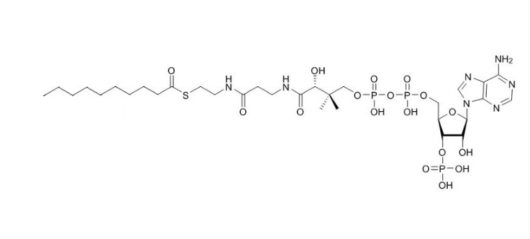
  • 癸酰辅酶A(钠盐)Decanoyl coenzyme A 1264-57-9

癸酰辅酶A(钠盐)Decanoyl coenzyme A 1264-57-9

Decanoyl coenzyme A
1264-57-9
询价 10mg 起订
100mg 起订
江苏 更新日期:2026-03-27

南通信合生物科技有限公司

VIP4年
联系人:杨经理
电话:13813727166,15370460228;拨打
手机:13813727166 拨打
邮箱:sale_xinhe@outlook.com

产品详情:

中文名称:
癸酰辅酶A(钠盐)
英文名称:
Decanoyl coenzyme A
CAS号:
1264-57-9
纯度规格:
95%
产品类别:

癸酰辅酶A(钠盐)

Decanoyl-CoA-sodium-salt 

CAS 1264-57-9

产品详情

CAS: 1264-57-9

纯度 > 95% (HPLC)

Molecular Formula: C31H54N7O17P3S - NaX
Formula Weight: 939.8 Da
产品详情

CAS: 1264-57-9

纯度 > 95% (HPLC)

Molecular Formula: C31H54N7O17P3S - NaX
Formula Weight: 939.8 Da



癸酰辅酶A(钠盐);1264-57-9;

公司简介

南通信合生物科技有限公司位于长江入海口,与上海隔海相望。常年进口批发生物染色剂,指示剂和其他一些通用的化学试剂及原料中间体,价格优,质量有保障,欢迎广大客户多多询价!

成立日期 (12年)
注册资本 100万人民币
员工人数 1-10人
年营业额 ¥ 100万以内
经营模式 贸易,工厂,试剂
主营行业 染料中间体,通用试剂,高纯试剂,原料药,氨基酸及其衍生物

癸酰辅酶A(钠盐)相关厂家报价

内容声明
拨打电话 立即询价