基本信息 产品详情 公司简介 推荐产品
网站主页 PHENYLACETYL COENZYME A LITHIUM SALT 苯乙酰辅酶A(钠盐)
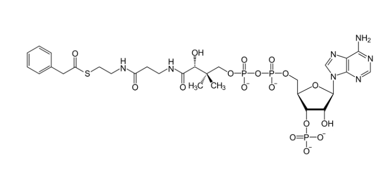
  • 苯乙酰辅酶A(钠盐)PHENYLACETYL COENZYME A LITHIUM SALT 108321-26-2

苯乙酰辅酶A(钠盐)PHENYLACETYL COENZYME A LITHIUM SALT 108321-26-2

PHENYLACETYL COENZYME A LITHIUM SALT
108321-26-2
询价 10mg 起订
100mg 起订
江苏 更新日期:2026-03-27

南通信合生物科技有限公司

VIP4年
联系人:杨经理
电话:13813727166,15370460228;拨打
手机:13813727166 拨打
邮箱:sale_xinhe@outlook.com

产品详情:

中文名称:
苯乙酰辅酶A(钠盐)
英文名称:
PHENYLACETYL COENZYME A LITHIUM SALT
CAS号:
108321-26-2
纯度规格:
95%
产品类别:

苯乙酰辅酶A(钠盐)

Phenylacetyl-CoA-sodium-salt 

CAS 108321-26-2

产品详情

纯度 > 95% (NMR)

CAS:108321-26-2
分子式:C29H42N7O17P3S(游离酸基)
分子量:885.7 Da(游离酸基)

苯乙酰辅酶A(钠盐)

Phenylacetyl-CoA-sodium-salt 

CAS 108321-26-2

产品详情

纯度 > 95% (NMR)

CAS:108321-26-2
分子式:C29H42N7O17P3S(游离酸基)
分子量:885.7 Da(游离酸基)



苯乙酰辅酶A(钠盐);108321-26-2;

公司简介

南通信合生物科技有限公司位于长江入海口,与上海隔海相望。常年进口批发生物染色剂,指示剂和其他一些通用的化学试剂及原料中间体,价格优,质量有保障,欢迎广大客户多多询价!

成立日期 (12年)
注册资本 100万人民币
员工人数 1-10人
年营业额 ¥ 100万以内
经营模式 贸易,工厂,试剂
主营行业 染料中间体,通用试剂,高纯试剂,原料药,氨基酸及其衍生物

苯乙酰辅酶A(钠盐)相关厂家报价

内容声明
拨打电话 立即询价