基本信息 产品详情 公司简介 推荐产品
网站主页 苯磺酸美洛加巴林M1-杂质A 苯磺酸美洛加巴林M1-杂质A
  • 苯磺酸美洛加巴林M1-杂质A

苯磺酸美洛加巴林M1-杂质A 新品

Mirogabalin besylateM1-Impurity A
询价 20mg 起订
50mg 起订
100mg 起订
山东 更新日期:2026-02-23

山东沃德森生物科技有限公司

VIP6年
联系人:刘经理
电话:0531-88723173拨打
手机:18596073690 拨打
邮箱:1047208234@qq.com

产品详情:

中文名称:
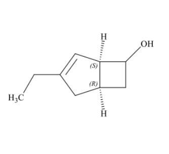
苯磺酸美洛加巴林M1-杂质A
英文名称:
Mirogabalin besylateM1-Impurity A
保存条件:
-20℃冷冻避光
纯度规格:
95%+ HPLC
产品类别:
LFQ
级别:
医药级
货号:
WDS-BH9050
分子式:
C9H14O

中文名称:苯磺酸美洛加巴林M1-杂质A    英文名称:Mirogabalin besylateM1-Impurity A    纯度:95%+ HPLC      包装:20mg、50mg、100mg

 可提供液相、质谱、氢谱、COA      产品分类:杂质对照品、化学试剂、医药中间体      备注:LFQ


杂质对照品;

公司简介

山东沃德森生物科技有限公司,是一家集研发、合成、销售为一体的集团性企业,公司目前员工100余名,实验室面积2000平,目前在售杂质种类800余种,存有大量现货,也可以接受定制。

成立日期 (7年)
注册资本 1500.000000万
员工人数 10-50人
年营业额 ¥ 100万以内
经营模式 试剂,定制,服务
主营行业 中间体,天然产物,化学试剂,医药原料

苯磺酸美洛加巴林M1-杂质A相关厂家报价

内容声明
拨打电话 立即询价