基本信息 产品详情 公司简介 推荐产品
网站主页 抑制剂多肽 抑制剂多肽
  • Cdk2/Cyclin Inhibito/237392-84-6/抑制剂多肽Cdk2/Cyclin Inhibitory Peptide I

Cdk2/Cyclin Inhibito/237392-84-6/抑制剂多肽Cdk2/Cyclin Inhibitory Peptide I

Cdk2/Cyclin Inhibitory Peptide I
237392-84-6
询价 1mg 起订
10mg 起订
100mg 起订
浙江 更新日期:2026-03-31

绍兴市均宇生物科技有限公司

VIP4年
联系人:肖经理
电话:0571-0571-88211921拨打
手机:19105816207 拨打
邮箱:sales4@gotopbio.com

产品详情:

中文名称:
抑制剂多肽
英文名称:
Cdk2/Cyclin Inhibitory Peptide I
CAS号:
237392-84-6
品牌:
均宇生物
产地:
杭州
保存条件:
-20℃密封
纯度规格:
99% HPLC MS
产品类别:
目录多肽
别名:
抑制剂多肽Cdk2/Cyclin Inhibitory Peptide I
分子式:
C111H196N48O23
货号:
PYC-193
用途范围:
仅供科研使用,不得用于人体
规格:
1mg,10mg,100mg,1000mg,按照您的需求任意包装
是否进口:

Product NameCdk2/Cyclin Inhibitory Peptide I

CAS No.237392-84-6

Synonyms:抑制剂多肽Cdk2/Cyclin Inhibitory Peptide I

Catalog No.PYC-193

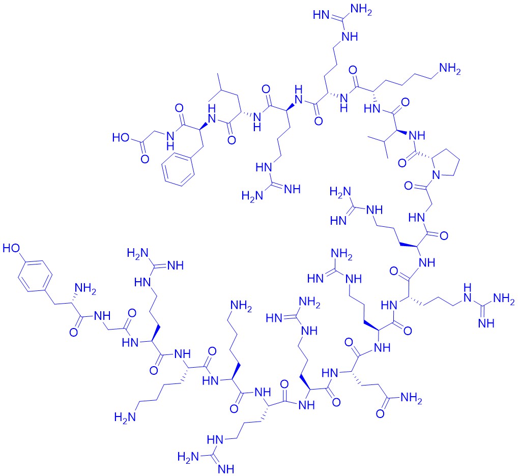
DescriptionCdk2/Cyclin Inhibitory Peptide I 是一种CDK2抑制剂,能以剂量依赖的方式杀死U2OS骨肉瘤细胞,其由20个氨基酸组成

Cdk2/Cyclin Inhibition Peptide I is a CDK2 inhibitor that can kill U2OS osteosarcoma cells in a dose-dependent manner. It is composed of 20 amino acids.

Purity (HPLC) ≥98.0%

Single impurity≤2%

Peptide content≥75.0%

Amino Acid Composition≤±15%

Bacterial Endotoxins≤50EU/mg

SolubilityH2O/DMSO

Vacuum-packed with aluminum foil bag or transparent bag.Various weights can be packed according to your requirements.

Storage:Cool dry place( Store at -20°C, away from the light)

Remark:For Research Use Only. Not for human use.

Sequence(1-letter code)

YGRKKRRQRRRGPVKRRLFG

Sequence(3-letter code)

H-Tyr-Gly-Arg-Lys-Lys-Arg-Arg-Gln-Arg-Arg-Arg-Gly-Pro-Val-Lys-Arg-Arg-Leu-Phe-Gly-OH

Peptide Structure


Molecular Formula

C111H196N48O23

Molecular Weight

2571.05

 

订购联系方式:

手机:+86-15572296305 (同微信号)+86-13738330136(同微信号)

QQ: 3187976021 3646709832

邮箱:sales4@gotopbio.com

本公司产品仅供科研使用,不得用于人体


237392-84-6;抑制剂多肽;Cdk2/Cyclin Inhibito;多肽;多肽合成;

公司简介

杭州固拓生物科技有限公司是一家专业从事多肽以及相关衍生物研发和生产的国家高新技术企业。公司主要从事多肽原料药中间体,化妆品多肽、定制多肽等的研发和生产,以及相关的HPLC纯化服务、生物检测服务;同时也致力于保护氨基酸、蛋白、小分子化学、荧光染料、糖类衍生物、核酸,抗体、医药中间体等产品的开发。 目前实验室面积2000平方,多条完善的多肽生产线, 有数台大型的多肽合成设备,HPLC分析和制备设备,并配有GMP洁净车间。目前公司有成熟的多肽产品40多种,可年产多肽100kg以上。 我们的服务涉及到全国以及近三十个国家和地区,其中包括欧洲、北美、亚洲及大洋洲在内的制药公司、生物科技公司、高等院校以及科研机构等。 我们的产品和服务范围包括: 1.多肽原料药中间体的生产;? 2.多肽药物的研发、申报和生产;? 3.多肽定制合成服务CRO和CMO服务;? 4.特殊保护氨基酸以及小分子化合物合成;? 5.商品化多肽库的建立;? 6.新药研究开发的技术支持;? 7.多克隆抗体等。 公司视研发、创新为企业成长的核心生命力,持续不断地投入多肽领域研发,每年投入20%以上的收入作为研发经费,同时也鼓励和支持合作院校进行产学研合作。公司从采购,入库,合成,纯化,冻干,复测,运输等所有环节都严格的质量控制和监管,高效率、保质量、优服务是公司对每个客户的承诺! 其他服务

成立日期 (6年)
注册资本 618万人民币
员工人数 50-100人
年营业额 ¥ 1000万-5000万
经营模式 工厂
主营行业 中间体,生物化工,有机原料,医药原料,技术服务

抑制剂多肽相关厂家报价

内容声明
拨打电话 立即询价