基本信息 产品详情 公司简介 推荐产品
网站主页 化工产品目录 医药中间体 原料药中间体 埃格列净杂质11 埃格列净杂质11
  • 埃格列净杂质11

埃格列净杂质11

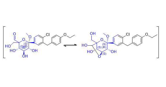
(3S,4S,5R,6S)-6-(4-chloro-3-(4-ethoxybenzyl)phenyl)-3,4,5-trihydroxy-2-(hydroxymethyl)-6-methoxytetrahydro-2H-pyran-2-carbaldehyde compound with (3S,4R,5S,8S)-3-(4-chloro-3-(4-ethoxybenzyl)phenyl)-1-(
询价 100mg 起订
北京 更新日期:2026-01-16

北京康派森医药科技有限公司

VIP14年
联系人:田金龙
电话:010-010-52878169拨打
手机:15801002657 拨打
邮箱:sales@bjcomparison.com

产品详情:

中文名称:
埃格列净杂质11
英文名称:
(3S,4S,5R,6S)-6-(4-chloro-3-(4-ethoxybenzyl)phenyl)-3,4,5-trihydroxy-2-(hydroxymethyl)-6-methoxytetrahydro-2H-pyran-2-carbaldehyde compound with (3S,4R,5S,8S)-3-(4-chloro-3-(4-ethoxybenzyl)phenyl)-1-(
品牌:
康派森
纯度规格:
≥95%
产品类别:
333-埃格列净
货号:
AGJ333-11
分子式:
C46H54Cl2O16
用途:
仅用于研发试验中鉴别、检查。
外观性状:
白色粉末

埃格列净系列杂质,用于埃格列净药物研发中的有关物质研究和检查。

出具完整的质量证书(COA):

* 结构确证:质谱(MS)、核磁(1HNMR、13CNMR)、紫外色谱(UV),包含详细图谱解析

* 检查项:高效液相色谱(HPLC)、水分(KF)、残留溶剂(NMR)等

* 含量计算

* 工艺路线




埃格列净;

公司简介

北京康派森医药科技有限公司是一家以研发药品注册过程中所涉及的杂质对照品为核心生产商。

成立日期 (11年)
注册资本 100万元
员工人数 50-100人
年营业额 ¥ 100万以内
经营模式 定制,服务
主营行业 中间体,医药原料,医药中间体,原料药

埃格列净杂质11相关厂家报价

内容声明
拨打电话 立即询价