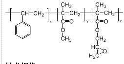
苯乙烯(ST)、甲基丙烯酸甲酯(MMA)与甲基丙烯酸缩水甘油酯(GMA)共聚物 新品
TRUELICHT 3700
1191261-43-4
1191261-43-4
询价
25KG 袋
起订
山东 更新日期:2026-03-17
产品详情:
- 中文名称:
- 苯乙烯(ST)、甲基丙烯酸甲酯(MMA)与甲基丙烯酸缩水甘油酯(GMA)共聚物
- 英文名称:
- TRUELICHT 3700
- CAS号:
- 1191261-43-4
- 品牌:
- 真光
- 产地:
- 中国
- 保存条件:
- 室温避光储存
- 产品类别:
- 扩链剂chain extender
- 分子式:
- 1191261-43-4
公司简介
青岛真光功能材料科技有限公司是国内专业的功能材料添加剂供应商。公司通过ISO9001国际质量体系认证。经过多年踏实的行业积累和技术革新,在橡塑行业、油墨行业、涂料行业、纺织印染行业、功能性树脂等行业形成了较为完整添加剂产业链,并在水性抗氧化剂、水性紫外线吸收剂、聚氨酯添加剂领域取得了显著成果。
我司产品包括抗氧化剂、紫外线吸收剂、光稳定剂、光引发剂、热稳定剂、成核剂、阻燃剂、聚氨酯扩链剂、纳米光吸收材料、抗菌材料、功能性母粒、着色剂等。我们的OEM生产工厂主要分布在中国大陆,部分聚氨酯添加剂工厂位于台湾和韩国。产品符合国家标准或行业标准。
我们是技术型的公司,我们有国内外优秀的工程师团队。
我们是研发型公司,我们的OEM工厂有强大的产品转化能力。
我们是对品质苛刻的公司,我们从不降低对品质的要求,不允许一丝隐患和瑕疵产品流向信任我们的客户。
我们将在持续创新的基础上优化合成路线,提高产品质量,降低原料生产成本,让您的产品更具竞争力。青岛真光功能材料科技愿成为国内功能性材料添加剂领域的一道真光,照亮、服务更多的客户。让您可以放心的采购,放心的使用。帮助每一个与我们合作的客户成为行业翘楚,是我们所有真光人永远的追求。真光?,享受化学的美好!?
| 成立日期 | (8年) |
| 注册资本 | 200万 |
| 员工人数 | 50-100人 |
| 年营业额 | ¥ 1亿以上 |
| 经营模式 | 工厂 |
| 主营行业 | 合成材料中间体,香精和香料中间体,纺织用化学品,特种化学品 |
苯乙烯(ST)、甲基丙烯酸甲酯(MMA)与甲基丙烯酸缩水甘油酯(GMA)共聚物相关厂家报价
-
- 甲基丙烯酸缩水甘油酯(GMA) 106-91-2
- 武汉市承天精细化工有限公司 VIP
- 2026-04-07
- 询价
-
- 甲基丙烯酸缩水甘油酯(GMA)
- 武汉卡米克科技有限公司 VIP
- 2026-04-01
- 询价
-
- 甲基丙烯酸缩水甘油酯GMA
- 上海聚瑞实业有限公司
- 2026-04-12
- ¥60
