基本信息 产品详情 公司简介 推荐产品
网站主页 贝派度酸二聚体杂质 贝派度酸二聚体杂质
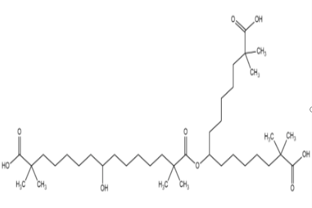
  • 贝派度酸二聚体杂质

贝派度酸二聚体杂质 新品

询价 50mg 起订
100mg 起订
山东 更新日期:2026-02-23

山东沃德森生物科技有限公司

VIP6年
联系人:刘经理
电话:0531-88723173拨打
手机:18596073690 拨打
邮箱:1047208234@qq.com

产品详情:

中文名称:
贝派度酸二聚体杂质
产品类别:
ZJ
产品规格:
对照品
杂质对照品:
对照品

纯度:95% HPLC或指定含量 | 包装信息:10MG;25MG;50MG;100MG | 备注:品牌:World Sun,产品适用于药物研发生产以及注册申报,随货资料含HPLC/HNMR/MA/COA,亦可提供含量测定数据、二维核磁、CNMR、IR、UV、热重分析等。

对照品;标准品;

公司简介

山东沃德森生物科技有限公司,是一家集研发、合成、销售为一体的集团性企业,公司目前员工100余名,实验室面积2000平,目前在售杂质种类800余种,存有大量现货,也可以接受定制。

成立日期 (7年)
注册资本 1500.000000万
员工人数 10-50人
年营业额 ¥ 100万以内
经营模式 试剂,定制,服务
主营行业 中间体,天然产物,化学试剂,医药原料

贝派度酸二聚体杂质相关厂家报价

内容声明
拨打电话 立即询价