基本信息 产品详情 公司简介 推荐产品
网站主页 阿曲生坦杂质15 阿曲生坦杂质15
  • 阿曲生坦杂质15

阿曲生坦杂质15

Atrasentan  Impurity15
询价 25mg 起订
100mg 起订
250mg 起订
广东 更新日期:2026-04-09

广州维奥康药业科技有限公司

VIP2年
联系人:陈惠妮
电话:+86-13424074264;拨打
手机:13726739909 拨打
邮箱:chenhuini@cti-cert.com

产品详情:

中文名称:
阿曲生坦杂质15
英文名称:
Atrasentan  Impurity15
纯度规格:
95%+
产品类别:
阿曲生坦杂质

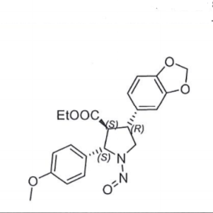
阿曲生坦杂质15  Atrasentan  Impurity15;   AQ01-1M5-I05  ; C21H22N2O6;   398.42

系统命名法:乙基(2S,3S,4R)-4-(苯并[d][1,3]二氧醇-5-基)-2-(4-甲氧基苯基)-1-N-亚硝基吡咯烷-3-羧酸酯

库存现货  氢谱、质谱、液相、含量


阿曲生坦;阿曲生坦杂质;C21H22N2O6;398.42;

公司简介

广州维奥康药业科技有限公司成立于2016年10月26日,是一家专注于药品研发、CMC研究、注册申报及一致性评价服务的技术型企业 。公司于2023年被华测检测认证集团全资收购,成为其医药健康板块的重要组成部分,进一步强化了药物合成、质量研究及注册申报全链条服务能力 。 作为高新技术企业(2023)和专精特新中小企业(2024),维奥康拥有11项注册商标和18项专利,主营原料药及中间体生产,并提供基因毒性杂质研究、元素检测等技术服务 。其技术团队成功承接50+基因毒性杂质研究、50+抗生素聚合物研究、20+元素杂质检测等项目,并助力海口市制药厂注射用头孢美唑钠于2023年通过审批

成立日期 (10年)
注册资本 500万人民币
员工人数 50-100人
年营业额 ¥ 1000万-5000万
经营模式 工厂
主营行业 中间体,医药原料

阿曲生坦杂质15相关厂家报价

内容声明
拨打电话 立即询价