基本信息 产品详情 公司简介 推荐产品
网站主页 化工产品目录 分析化学 标准品 药典标准品和杂质标准品 Osimertinib Impurity M 奥西替尼杂质12
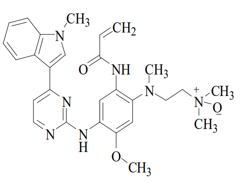
  • 奥西替尼12

奥西替尼12

Osimertinib Impurity 12
1975982-94-5
询价 10mg; 起订
50mg; 起订
100mg; 起订
广东 更新日期:2026-04-09

广州维奥康药业科技有限公司

VIP2年
联系人:陈惠妮
电话:+86-13424074264;拨打
手机:13726739909 拨打
邮箱:chenhuini@cti-cert.com

产品详情:

中文名称:
奥西替尼杂质12
英文名称:
Osimertinib Impurity 12
CAS号:
1975982-94-5
纯度规格:
95%+HPLC;90%+TGA
产品类别:
奥西替尼杂质

1975982-94-5

奥西替尼杂质12 Osimertinib Impurity 12

95%+HPLC;90%+TGA  包装10mg;20mg;50mg;250mg;500mg;1g

三大普+定量核磁含量或者TGA含量    默认纯度95+ 含量90+


奥西替尼杂质;奥西替尼;

公司简介

广州维奥康药业科技有限公司成立于2016年10月26日,是一家专注于药品研发、CMC研究、注册申报及一致性评价服务的技术型企业 。公司于2023年被华测检测认证集团全资收购,成为其医药健康板块的重要组成部分,进一步强化了药物合成、质量研究及注册申报全链条服务能力 。 作为高新技术企业(2023)和专精特新中小企业(2024),维奥康拥有11项注册商标和18项专利,主营原料药及中间体生产,并提供基因毒性杂质研究、元素检测等技术服务 。其技术团队成功承接50+基因毒性杂质研究、50+抗生素聚合物研究、20+元素杂质检测等项目,并助力海口市制药厂注射用头孢美唑钠于2023年通过审批

成立日期 (10年)
注册资本 500万人民币
员工人数 50-100人
年营业额 ¥ 1000万-5000万
经营模式 工厂
主营行业 中间体,医药原料

奥西替尼杂质12相关厂家报价

内容声明
拨打电话 立即询价