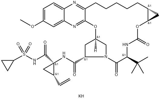
1206524-86-8
1206524-86-8
询价
1KG
起订
江苏 更新日期:2026-02-23
产品详情:
- CAS号:
- 1206524-86-8
- 产品类别:
- 1
公司简介
是一家集原料药及高级中间体研发和定制生产为核心业务的企业。
公司坚持以创新引领发展,把研发创新作为企业发展战略基点,加快实施"以"研发创新战略。企业每年技术创新投入占销售收入比例达20%左右,依托产研联合建成设施一流的药物制剂研发中心等创新研发平台,具备化学药、生物药研发创新能力。
市场无限,目标无限,打造知名品牌,奉献医药精品,围绕特色原料药及关键中间体的稳定高效供应为核心、制剂的研发和生产为支撑,通过提升产能,创新商业模式,推进各产业协调发展,着力打造具有竞争力的制药企业,为全球客户提供更好的产品和服务,在未来的发展中不断创造新的辉煌。
| 成立日期 | (11年) |
| 注册资本 | 500万 |
| 员工人数 | 10-50人 |
| 年营业额 | ¥ 500万-1000万 |
| 经营模式 | 工厂,定制 |
| 主营行业 | 医药中间体 |
相关厂家报价
-
- 118994-86-8
- 重庆志圣科技有限公司
- 2025-10-31
- 询价
-
- 氪-86
- 济南市万理气体有限公司 VIP
- 2026-04-16
- 询价
-
- 1642574-86-4
- 上海祥耕科技发展有限公司 VIP
- 2026-04-02
- 询价
-
- 化合物 Grazoprevir potassium salt|T19948|TargetMol
- TargetMol中国(陶术生物) VIP
- 2026-04-07
- ¥17400
