基本信息 产品详情 公司简介 推荐产品
网站主页 化工产品目录 有机原料 醚类化合物及其衍生物 醚、醚醇 聚醚醇 聚多卡醇
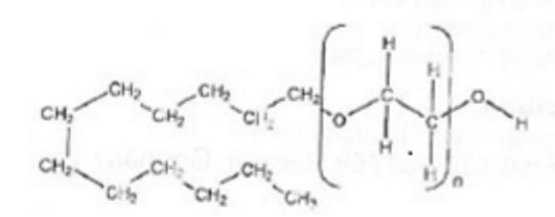
  • 聚多卡醇 3055-99-0

聚多卡醇 3055-99-0

Polidocanol
3055-99-0
询价 1kg 起订
山东 更新日期:2025-08-12

山东新鲁医药科技有限公司

非会员
联系人:王云
手机:18615637112 拨打
邮箱:3136622954@qq.com

产品详情:

中文名称:
聚多卡醇
英文名称:
Polidocanol
CAS号:
3055-99-0
产地:
山东
保存条件:
密封保存
纯度规格:
99.99%
产品类别:
原料药
级别:
医用级

我国静脉曲张发病率高达20%,患病人群超过2亿。据统计,一般2536岁开始出现症状,40岁以上高发。

用途:用于聚多卡醇注射液,注射液用于静脉曲张的治疗,适应症为适用于蜘蛛网样静脉的中心静脉、网状静脉及小静脉曲张的硬化治疗。

属于一种硬化剂,通过注射进入静脉后,会破坏血管内皮细胞,引发血管内的炎症反应,使静脉血管收缩、闭塞,最终被纤维组织替代,从而达到治疗静脉曲张的目的。

这种治疗方法相对比较简单,在临床应用中可以有效改善患者静脉的外观和症状,减轻腿部的疼痛、沉重感等不适症状




聚多卡醇;

公司简介

山东新鲁医药科技,作为持有 B 证的专业企业,专注于前沿技术精准转让,搭配稳定可靠的原料供应体系,为您的发展注入强劲动力

成立日期 (5年)
注册资本 300万人民币
员工人数 10-50人
年营业额 ¥ 500万-1000万
经营模式 工厂
主营行业 中间体,化学试剂,医药原料

聚多卡醇相关厂家报价 更多

  • 聚醚醇
  • 聚醚醇
  • 广东大小化工有限公司 VIP
  • 2026-04-03
  • 询价
  • 聚醚醇
  • 聚醚醇
  • 特斯科化工(湖北)有限公司 VIP
  • 2026-04-01
  • 询价
  • 聚醚醇
  • 聚醚醇
  • 武汉卡米克科技有限公司 VIP
  • 2026-04-01
  • 询价
  • 聚醚醇
  • 聚醚醇
  • 河南威梯希化工科技有限公司 VIP
  • 2026-03-03
  • 询价
内容声明
拨打电话 立即询价