基本信息 产品详情 公司简介 推荐产品
网站主页 化工产品目录 分析化学 标准品 农残、兽药及化肥类 磺酰磺隆 磺酰磺隆
  • 磺酰磺隆

磺酰磺隆

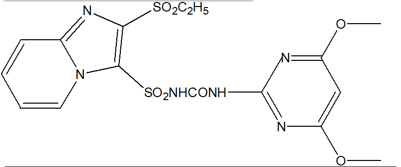
N-[[(4,6-Dimethoxy-2-pyrimidinyl)amino]carbonyl]-2-(ethylsulfonyl)imidazo[1,2-a] pyridine-3-sulfonamide
141776-32-1
询价 1kg 起订
上海 更新日期:2026-03-14

上海益东智源科技有限公司

非会员
联系人:钟毅
电话:13505147491拨打
手机:13505147491 拨打
邮箱:13505147491@139.com

产品详情:

中文名称:
磺酰磺隆
英文名称:
N-[[(4,6-Dimethoxy-2-pyrimidinyl)amino]carbonyl]-2-(ethylsulfonyl)imidazo[1,2-a] pyridine-3-sulfonamide
CAS号:
141776-32-1
产地:
江苏
纯度规格:
98%
产品类别:
中间体

PRODUCT:N-[[(4,6-Dimethoxy-2-pyrimidinyl)amino]carbonyl]-2-(ethylsulfonyl)imidazo[1,2-a]

pyridine-3-sulfonamide

品名:N-[[(4,6-二甲氧基-2-嘧啶基)氨基]甲酰]-2-(乙基磺酰)咪唑并[1,2-a]吡啶-3-磺酰胺;

CAS:141776-32-1

Items

项目

Standard

标准

Test Method

检测方法

Characteristics

外观

White to off white powder

白色至类白色粉末

目测

moisture

水分

≤0.5%

微量水分测定仪

pH value

pH

5.0-7.0

pH酸度计

Assay

含量

≥98.0%

液相色谱仪


磺酰磺隆;141776-32-1; N-[[(4,6-二甲氧基-2-嘧啶基;

公司简介

医药中间体,农药中间体

成立日期 (1年)
注册资本 50万人民币
员工人数 1-10人
年营业额 ¥ 100万以内
经营模式 贸易,试剂,定制
主营行业 医药中间体,合成材料中间体,农药中间体,其他中间体

磺酰磺隆相关厂家报价 更多

  • 磺酰磺隆
  • 磺酰磺隆
  • 湖北正兴源精细化工有限公司 VIP
  • 2026-03-03
  • 询价
内容声明
拨打电话 立即询价